情境假設
假設有一指數,或漲或跌,上漲(下跌)時報酬率為 r+(r-)。並假設漲跌相伴,無法藉由擇時帶來額外獲利或虧損。也就是說,指數變化為

此時再分兩種情形,一是指數變化持平,二是在某特定槓桿率下變化持平。
指數變化持平

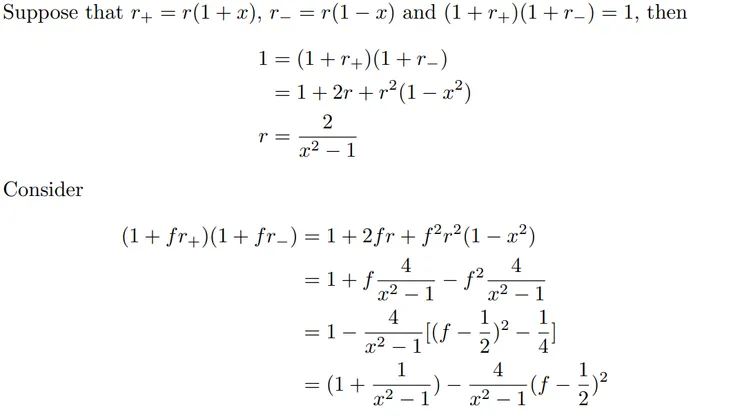
假設漲跌兩種情形的算術平均報酬率為 r,並設定 x>1作為風險參數。可以將指數持平的結果分成:
- 帶來上漲傾向的是,報酬 r。
- 帶來下跌傾向的是,風險 x 。
然而這個區分仍稍顯粗略,可以再精確一些:
- 帶來上漲傾向的是,一次項 2r。
- 帶來下跌傾向的是,二次項 -r^2(x^2-1)。
此時若有一參數 f ,對於一次項及二次項有不等的縮放效果,即可調整對上漲或下跌的偏重。此時挑選槓桿(投入比率)作為 f,即可選擇對漲跌的偏好。
在此一漲一跌的假設下,槓桿調整後指數成長最大值發生在投入一半的情況,f=1/2。此時有著大於零的報酬,達成無中生有。而當槓桿更高或低時,例如2倍、3倍、反向等,則造成報酬下降,稱做槓桿損耗。
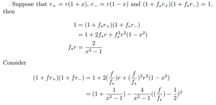
在某特定槓桿率下變化持平

現在額外考慮指數並非持平的情況,例如牛市或熊市。此時在某個或是正向或是反向的槓桿,才達到前一情形的持平。此一用以調整的基準槓桿可以作為新的比較基準,達成相似結果。
討論
假設一簡單的丟銅板模型,如同先前在《為什麼報酬未必越高越好?凱利公式提示》中的情境一,並只考慮正反面次數均等的情形,即可以模擬狂徒文章《還我兩顆地球》中第四點所提表格。
狂徒兄提及:
0.5 倍槓桿,不但比 1 倍槓桿還好,也比 0 倍槓桿還好,我要怎麼用「耗損」來解釋?Who's your daddy now?
貓貓認為:本文中簡單的銅板遊戲,即可補充說明該表格的含意。至於高斯分佈或丟銅板,畢竟都是獨立於市場所做的假設,切勿當真用以預測未來。




















