DCF(Discounted Cash Flow)現金流量折現法是將未來的預估現金流折現到今天的價值的總和,用來評估公司企業的估值。
任何打算認真學習金融財務知識的人都必須要了解掌握其基本知識,今天我們希望能夠簡單的說明基本概念讓大家有粗淺的理解。
美國股神巴菲特曾經說過:「上市公司的內在價值,就是該企業在其未來所能產生的自由現金流量折現後的總和。」
中國股神段永平也說過:「同意DCF(生命周期的總現金流折現)是唯一合乎邏輯的估值方法。」巴菲特跟段永平都曾經公開提過DCF的重要性,當然他們絕對不可能只單靠使用DCF就成為了股神,但是對於DCF的精神與概念我們還是可以在這裡稍微給大家講述一下。
我們都希望買便宜的東西、股票甚至是整間公司,但是什麼叫做便宜?在討論便宜之前,我們應該要先知道的是什麼叫做正常價值,DCF在計算的就是正常情境下的現在價值。在DCF的計算當中有一個很重要的精神就是「時間就是金錢」每一筆錢都有時間跟機會成本,在每個時間使用不同的時間跟機會成本就是DCF的最重要概念,我們將在下面舉一個簡單的例子讓大家了解,並且說明為何升息會造成估值降低!
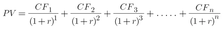
讓我們先上一條公式!

PV= Present Value,現在此時此刻的價值。
CF= Cash Flow,未來現金流,右下角的數字代表未來第n年的現金流量。
r = Discount rate,折現率。
n = 代表未來第n年。
公式裡包含了幾個重要元素:
- 未來現金流 CF:
通常用自由現金流(Free Cash Flow,FCF)來計算,指的是公司真正可以自由運用的資金。計算方式對於一般普通人來說十分困難,其公式如下:
FCF = Operating Cash Flow (OCF) - Capital Expenditures(CAPEX)
可以更進一步細拆分為:(很複雜吧 Q.Q...)
FCF = Net Income + Interest Expense - Tax Shield on Interest Expense + Non-cash Expenses (Depreciation, Amortization) - Change in Working Capital (Current Assets - Current Liabilities) - Capital Expenditures (CAPEX)
簡單來說,自由現金流計算為公司的各種營運活動(例如銷售商品、投資)增加的現金流入,扣除掉各項資本支出後,就可得出自由現金流。
自由現金流在計算上已經充滿了各種變數的情況下,未來現金流的預估則更是困難重重,所以投資銀行發出來的預估價格參考一下就好,大家都不是神沒有辦法準確的預估未來真實情況,反過來說要準確預估必須長期觀察且研究一家公司的情況並且適時分析調整。
2. 折現率(貼現率) r:
這裡的r可不是使用我們跑去定存的利率,而是公司營運的資本成本,通常使用加權平均資本成本(WACC,Weighted Average Cost of Capital )其中包含:
債權(Debt)可以理解成發行債卷借錢,通常成本較低。
股權(Equity)意思是發行股票跟投資人換現金,通常成本較高。
計算出來的WACC代表一間公司的機會成本,其中代表投資他們所要獲得的預期報酬。
折現率r數字越大,計算未來現金流折現到今天,數字就越小、價值也越低。反之折現率越小,未來現金流折現到今天數字就越高。
《這裡我們可以得出一個很重要的觀念,當機會成本很低的時候(比如資金氾濫,跟銀行借錢利息很低),算出來的DCF就會比較高,反過來如果機會成本很高(比如升息,信用不良,算出來的DCF就會比較低》
3. 期間 n:
未來各期數,一般會計算未來10~15年的現金流折現。保守一點的可以計算5~10年折現。算的期數越多,加總起來的數字越大。當然越遠期的現金流,因為折現率的期數很多的關係,除完後會越來越小到近乎於0。
結語
計算DCF有很多的優點,當然也有很多的缺點跟限制,很多時候未來現金流折現不是一個計算公式,而是一種思維。一個長時間在研究觀察許多產業的研究者,在看到一間公司價值改變的時候,可能用直覺就可以認定價格很便宜,或是太貴了。當下根本就不會很仔細的去計算DCF。
巴菲特說過:有一个200公斤的胖子走進来,我不用秤就知道他很胖。大概就是這個意思。一間好的公司特別是有在賺錢的公司,現金流原則上應該是要一直增加的,如果在減少那就可能有危險。其實,好的公司甚至產業往往要看的未來長遠的趨勢是否往上,這比計算DCF可能都更重要也更困難預測,我想這才是許多股神能夠獲勝的關鍵因素,而不是一天到晚盯著股價看。
💵如果喜歡我的文章,請大方按下愛心當作鼓勵💖
💵想要持續獲得金融財務知識,歡迎追蹤💖
💵普及正確系統性的金融知識是我的志向,如果看官也認同歡迎贊助💖


