常常有人在詢問,馬達繞線時的張力如何調整。實務上其實只要確認電阻值即可作為張力調整的依據,但本文則以較為學術的觀點,來討論繞線張力的理論值。
在討論力量之前,需要先了解銅線受力之後的變化,可參考金屬材料應力應變圖,其中X軸的應變就是代表材料變形狀態,Y軸的應力就是指力量大小的變化。可觀察到一般材料的受力變形會有三個階段,第一階段是紅色區域,屬於降伏強度之前材料是可恢復的,也就是雖然會變形,但力量只要一消失,材料就會恢復原始的尺寸,其中的上限值就是降伏強度;這就代表當我不希望繞完線後,漆包線徑變形的話,那我施加的力量應該要低於降伏強度以下。第二階段的黃色區域,則是代表材料開始進入永久變形的情況,無法恢復原始尺寸狀態;在馬達繞線中就是漆包線徑被拉細了,例如原始線徑為1,繞完後的直徑變成了0.95,非原始的尺寸,就代表繞線時的力量落入了黃色區域範圍內,此區域中最重要的參數就是抗拉強度,可以視為材料可抵抗力量的臨界值。一但超過抗拉強度後,材料會進入藍色區域,在現實中往往也代表著材料的斷裂。
應力應變圖
由上述的說明,可以知道,繞線時的張力設定,若是落在降伏強度內,則漆包線徑不會產生永久形變,因此線徑會維持不變;而超過降伏強度而低於抗拉強度的話,則是線徑被拉細,此時會產生電阻增加的副作用。若是遇到漆包線斷掉的情況,就代表力量已經高於抗拉強度了,是無法順利生產的。
一般馬達生產,其實並不會將張力設定在降伏強度以內,也就是繞完線的馬達漆包線徑往往會被拉細;主要是銅具有良好的延展性,這也代表其降伏強度與抗拉強度間有很大的落差,往往超過兩倍以上。當張力僅調控在降伏強度之下時,往往繞線排列的效果很差;但若太偏向抗拉強度,亦代表線徑被大幅的拉細,如下圖所示,這會導致馬達效率下降。因此馬達廠一般會控制拉細的程度落在5%以內。

受力-變形
若想要計算張力的力量值時,不妨看看參考降伏強度或抗拉強度的單位,其為力量單位(N)除以面積單位(mm^2);也就代表當有了銅材的降伏強度或抗拉強度值時,再搭配線徑所計算出來的截面積時,就可以求出可施的力量值。再次提醒,單位不僅很重要,往往也透露了數值的來源及應用的能性。

降伏或抗拉強度單位轉換
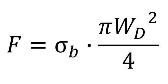
則可透過下列的數學公式,簡單求得繞線時的張力值(F),其中(σb)為抗拉強度,(WD)為漆包線的直徑。假設此漆包線的抗拉強度為200(N/mm^2),使用線徑為0.5,則可求得張力值為39.25(N);注意此時的力量單位為牛頓(N),可再轉換為習知的公斤(kg),1N = 0.10197 kg。

繞線張力計算
有趣的是,漆包線的降伏強度或抗拉強度值是多少呢? 這部分其實並非是定值,除了材料配方之外,還有牽扯到生產時的施工、製成、溫度等等要素的總成,才是真實的線材強度數據,這參數其實也是量測出來的,而非計算所得。因此,若漆包線廠商可以直接提供一份漆包線的強度數據,則可利用公式計算出對應的力量值;但若沒有廠商直接提供的數據,而用純銅的參數來計算,是會產生很大的誤差值。這也是筆者雖然知道如何計算,但卻對此數值沒有太大興趣的原因;繞線張力是個理論上可以計算,但為了計算又要另外花一堆功夫去處理,還不如直接量測繞完線的成果就好的參數。
重點整理:
雖然可以算,但有更為直接的做法,不需要特別繞路。
#個人經營
#歡迎贊助
馬達技術傳承計畫
想要馬達的技術嗎?想要的話可以全部給你,去找吧!
我把所有的知識都放在那裡了。



















