參考連結:
- 北一女數學科網站—段考試題
- 試卷連結

北一女—110-2—高二數A—第二次段考考古題解—填充題第1題

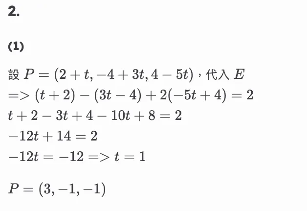
北一女—110-2—高二數A—第二次段考考古題解—填充題第2題

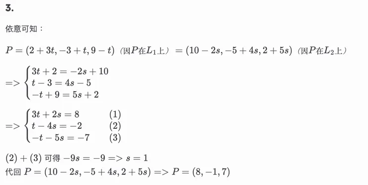
北一女—110-2—高二數A—第二次段考考古題解—填充題第3題

北一女—110-2—高二數A—第二次段考考古題解—填充題第4題

北一女—110-2—高二數A—第二次段考考古題解—填充題第5題

北一女—110-2—高二數A—第二次段考考古題解—填充題第6題

北一女—110-2—高二數A—第二次段考考古題解—填充題第7題

北一女—110-2—高二數A—第二次段考考古題解—填充題第8題

北一女—110-2—高二數A—第二次段考考古題解—填充題第9題

北一女—110-2—高二數A—第二次段考考古題解—填充題第10題

北一女—110-2—高二數A—第二次段考考古題解—填充題第11題

北一女—110-2—高二數A—第二次段考考古題解—混合題第1題

北一女—110-2—高二數A—第二次段考考古題解—混合題第2題

北一女—110-2—高二數A—第二次段考考古題解—混合題第2題

北一女—110-2—高二數A—第二次段考考古題解—混合題第2題




















