前一版本,筆者設計使用者需要填寫5組不同狀態的數據資料後,才能演算出整份永磁馬達特性曲線的圖表。然而人畢竟是偷懶的動物,有時連筆者都懶得量到5筆數據,而又知道實際上透過簡單的線性方程式,使用兩點的數據,就能求得永磁馬達特性數據,因此產生了這篇文章,適合極致懶惰的情況下使用。檔案連結如下,請自行取用:
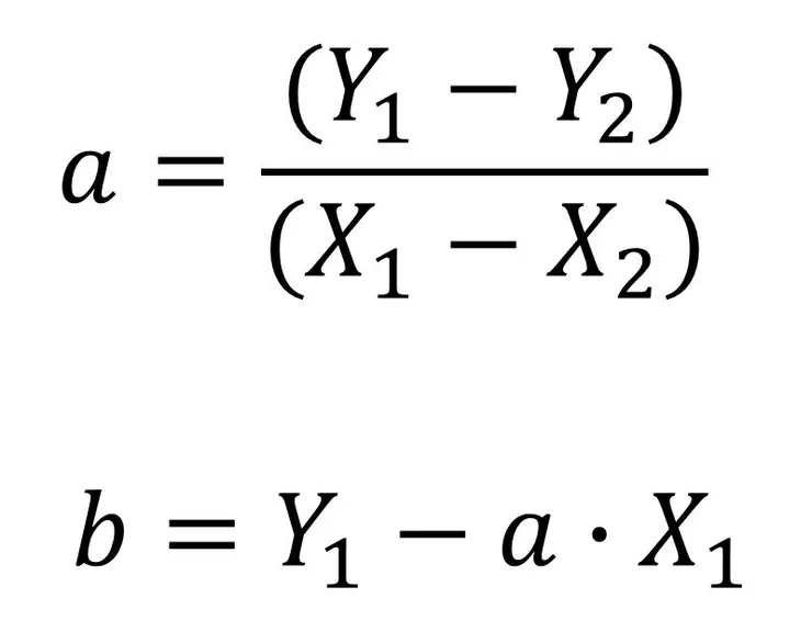
永磁馬達特性數據表及曲線圖(兩點式)至於此程式的主要演算核心,線性方程式如下所示:

當我們想要求得馬達轉矩-轉速(T-N)特性數據時,僅需要紀錄兩個不同狀態下的數值,如下圖所示,將4090的轉速設為Y1,而0.4的轉矩則為X1;轉速3374就為Y2,而轉矩1.2則是X2。

則可輕易求得線性方程式當中的未知數a與b的值,如下列所示,就可以利用此線性方程式的解,來求得不同轉矩下對應的轉速值,最終繪製成一條轉矩-轉速(T-N)直線圖,進而衍生馬達所需的相關特性數據與圖表。

因此本程式僅於excel表格內藍色範圍內,輸入兩組數據資料,個別填上電壓、電流、轉矩及轉速這四項必要的馬達量測數據,程式就會自動計算出所需線段的a、b值,如下圖所示,同時還會計算一下如最大轉矩、最大轉速、最低運轉電流等較為需要優先獲得的數據資料參考點,以利後續的整份數值產生。

之後則是要配合表格空間配置的緣故,筆者將數據切分為35等分顯示,之後個別計算如輸入功率(PI)、輸出功率(PO)以及效率(Eff)等馬達評估所需獲取的資訊,甚至將轉矩單位從kg-cm轉換為Nm顯示,如下圖所示。

最終將計算獲得的數據資料填入制式表格內彙整,並於底部特別標示出此顆馬達最高轉速、最大轉矩、最高效率以及最大輸出功率點的數據列表,以方便使用者快速確認馬達重點規格是否如同預期。

此外本程式也會將數據資料自動繪製為圖形進行表示,讓使用者能夠更為直觀的判斷馬達特性,如下圖所示。

相較於前一篇的五點量測的數據演算方法而言,僅採用兩點數值的線性方程式就演算出整份馬達特性數據,顯然誤差及精準度肯定是較差的,但能快速及簡便的獲得馬達特性資料,是本程式的特殊優點,因此在某些較不重要或是帶有某些限制條件下,筆者仍會使用此一方法,而其他使用者就請自行評估了。
檔案連結如下,請自行取用:
重點整理:
僅適用於永磁馬達。
#可擔任業界顧問、講師
#個人經營歡迎贊助
馬達技術傳承計畫
想要馬達的技術嗎?想要的話可以全部給你,去找吧!
我把所有的知識都放在那裡了。




















