//=================================================================//
7/14(一)跌回5.10.20均線 = 綁手觀望
//=================================================================//
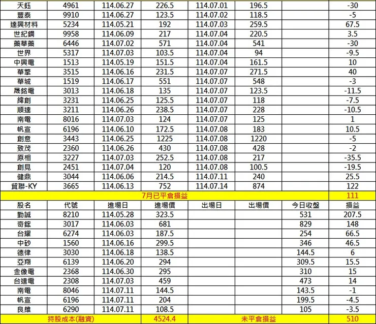
5月平倉損益 +83.2
6月平倉損益 +299.1
7月平倉損益 +111
//=================================================================//
持股進場未平倉
盈虧+510
今日平倉 : 貿聯-KY
今日新增 : 無


//=================================================================//
114.5/28 = 323.5進 = 114.7/14 = 收531 = "勤誠"8210"
7/14 站穩5均 續抱

114.6/3 = 681進 = 114.7/14 = 收829 = "奇鋐"3017"
7/14 站穩5均 續抱

114.6/3 = 187.5進 = 114.7/14 收254 = "台耀"6274"
7/14 站穩5均 續抱

114.6/13 = 766進 = 114.7/14 = 收874 = "貿聯-KY"3665"
7/14 量縮破10均 先平倉出場

114.6/16 = 299.5進 = 114.7/14 = 收346 = "中砂"1560"
7/14 量縮 破5均未破10均 續抱

114.6/18 = 138.5 進 = 114.7/14 = 收144.5 = "德律"3030"
7/14 破5.10均 但未破20均 續抱

114.6/20 = 294 進 = 114.7/14 = 收309.5 = "亞翔"6139"
7/14 量縮 站穩所有均 續抱

114.6/30 = 295 進 = 114.7/14 = 收310 = "金像電"2368"
7/14 破5均 未破10均 續抱

114.7/3 = 459 進 = 114.7/14 = 收473 = "台達電"2308"
7/14 量縮未破5均 續抱

114.7/11 = 144.5 進 = 114.7/14 = 收143.5 = "南電"8046"
7/14 量縮未破5均 續抱

114.7/11 = 204 進 = 114.7/14 = 收199.5 = "帆宣"6196"
7/14 量縮未破5均 續抱

114.7/11 = 108.5 進 = 114.7/11 = 收105 = "良維"6290"
7/14 未破5均 續抱

//=================================================================//
☛YT直播連結 : https://www.youtube.com/@sky1984100
您已被邀請加入「勝勝操盤室、程式分享解說群」!請點選以下連結加入社群!





















