//=================================================================//
8/1(五) 今日站上3均 = 中性佈局8/4(一) 今日站上3均 = 中性佈局
8/5(二) 今日第三天站穩3均 = 強力佈局
8/6(三) 今日第四天站穩3均 = 強力佈局

//=================================================================//
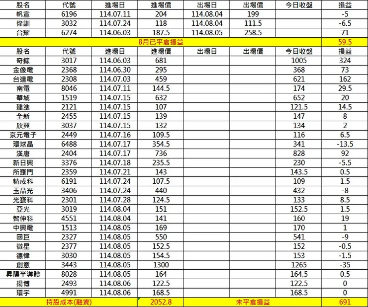
5月平倉損益 +83.2
6月平倉損益 +299.1
7月平倉損益 +366.5
8月平倉損益 +59.5

//=================================================================//
持股進場未平倉
盈虧+691
今日平倉 : 無
今日新增 : 揚博.環宇

//=================================================================//
114.6/3 = 681進 = 114.8/6 = 收1005 = "奇鋐"3017"
8/4 站穩5均 續抱
8/5 站穩5均 續抱
8/6 站穩5均 續抱

114.6/30 = 295 進 = 114.8/6 = 收368 = "金像電"2368"
8/4 量縮 跌回5均 續抱
8/5 量縮 跌回5均 續抱
8/6 量縮 收紅k 5均遊走 續抱

114.7/3 = 459 進 = 114.8/6 = 收621 = "台達電"2308"
8/4 站穩5均 續抱
8/5 站穩5均 續抱
8/6 站穩5均 續抱

114.7/11 = 144.5 進 = 114.8/6 = 收174 = "南電"8046"
8/4 先看是否站穩10均 續抱
8/5 先看是否站穩10均 續抱
8/6 先看是否站穩20均 續抱

114.7/15 = 632 進 = 114.8/6 = 收652 = "華城"1519"
8/4 破10均 先看月線是否守住 續抱
8/5 破10均 先看月線是否守住 續抱
8/6 先看月線是否守住 續抱

114.7/15 = 107 進 = 114.8/6 = 收121.5 = "建準"2121"
8/4 站回5均 續抱
8/5 站回5均 續抱
8/6 站回5均 續抱

114.7/15 = 139 進 = 114.8/6 = 收147 = "全新"2455"
8/4 站穩5均 續抱
8/5 站穩10均 續抱
8/6 站穩5均 續抱

114.7/15 = 132 進 = 114.8/6 = 收134 = "欣興"3037"
8/4 破5均 站穩10均 續抱
8/5 破5均 站穩10均 續抱
8/6 破5均 10均 先看月線是否站穩 續抱

114.7/16 = 109.5 進 = 114.8/6 = 收116 = "京元電子"2449"
8/4 今站回5均 續抱
8/5 今站回5均 續抱
8/6 量縮 今破10均 先看是否站穩月線

114.7/17 = 354.5 進 = 114.8/6 = 收341 = "環球晶"6488"
8/4 破10均 先看月線是否站穩 續抱
8/5 站回5均 續抱
8/6 破5.10均 先看月線是否站穩 續抱

114.7/17 = 736 進 = 114.8/6 = 收828 = "漢唐"2404"
8/4 站穩5均 續抱
8/5 站穩5均 續抱
8/6 站穩5均 續抱

114.7/18 = 235.5 進 = 114.8/6 = 收230 = "新日興"3376"
8/4 量縮 破5.10均 先看月線是否站穩 續抱
8/5 量縮 破5.10均 先看月線是否站穩 續抱
8/6 果然出量就快速站回所有均線 續抱

114.7/21 = 143 進 = 114.8/6 = 收143.5 = "所羅門"2359"
8/4 回月線後立馬站回所有均準備挑戰波段高點 續抱
8/5 回月線後立馬站回所有均準備挑戰波段高點 續抱
8/6 回月線後立馬站回所有均準備挑戰波段高點 續抱

114.7/24 = 107.5 進 = 114.8/6 = 收109 = "精成科"6191"
8/4 破10均 先看月線是否有守 續抱
8/5 破10均 先看月線是否有守 續抱
8/6 破10均 先看月線是否有守 續抱

114.7/24 = 440 進 = 114.8/6 = 收432 = "玉晶光"3406"
8/4 果真點到月線就上來 續抱
8/5 果真點到月線就上來 續抱
8/6 量縮破5.10均 先看月線是否站穩 續抱

114.7/28 = 124.5 進 = 114.8/6 = 收133 = "光寶科"2301"
8/4 今守月線後站回10均 續抱
8/5 站回漲停 續抱
8/6 今再創高 續抱

114.8/4 = 151 進 = 114.8/6 = 收152.5 = "亞光"3019"
8/5 上跳空 續抱
8/6 站穩5均 續抱

114.8/4 = 141 進 = 114.8/6 = 收160 = "智伸科"4551"
8/5 上跳空 續抱
8/6 繼續往上 續抱

114.8/5 = 169 進 = 114.8/6 = 收170 = "中興電"1513"
8/6 留上引 但無爆空量 續抱

114.8/5 = 550 進 = 114.8/6 = 收541 = "國巨"2327"
8/6 站穩5.10均 續抱

114.8/5 = 152.5 進 = 114.8/6 = 收152 = "微星"2377"
8/6 站穩5均 續抱

114.8/5 = 154.5 進 = 114.8/6 = 收153 = "德律"3030"
8/6 站穩5均 續抱

114.8/5 = 1300 進 = 114.8/6 = 收1265 = "創意"3443"
8/6 站穩5均 續抱

114.8/5 = 164 進 = 114.8/6 = 收164.5 = "昇陽半導體"8028"
8/6 站穩5均 續抱

114.8/6 = 122.5 進 = 114.8/6 = 收122.5 = "揚博"2493"
3.0 選股進場

114.8/6 = 168.5 進 = 114.8/6 = 收168.5 = "環宇"4991"
3.0 選股進場

//=================================================================//
☛YT直播連結 : https://www.youtube.com/@sky1984100
您已被邀請加入「勝勝操盤室、程式分享解說群」!請點選以下連結加入社群!




















