先說 : COVID- 19 可能會變成地方性流行病 ( Endemic Disease ) ?
白話文:“COVID 19 可能會變成流感化嗎” ?早上閱讀2篇文章,整理一下,嚐試回答上述2大問題
反覆感染 ( Reinfection )
反覆感染是許多呼吸道病毒的一個顯著特徵,我們一生中都受到同一病毒種類的多次不同感染。確實,人類常見的呼吸道病毒(包括流感病毒,呼吸道合胞病毒(RSV),鼻病毒和冠狀病毒)普遍一直存在,很大程度上是由於它們產生反覆感染的能力
在那些已感染COVID-19的患者中,大多數感染,無論其嚴重程度如何,均會誘導COVID-19特異性抗體的產生。 但是隨著時間拉長,抗體濃度本身也會下降,不足以提供長期時間的“殺菌免疫力”,以防止再次感染。
先前的疾病毒感染,可能會提供部分免疫力並降低症狀的嚴重性,但隨著時間拉長,不足的免疫反應,減弱的免疫力或病毒產生“免疫逃脫”的突變,會破壞或規避免疫力,並允許隨後的再次感染。
免疫系統,“需要多次受到反覆感染訓練,”才能穩定成熟和長期保護身體面對多次突變的病毒。如此才有能力變化成地方性流行病 ( Endemic Disease ):
地方性流行病 ( Endemic Disease )
已經是地方性流行病 ( Endemic Disease )的冠狀病毒,共有四種(OC43,HKU1、229E和NL63),在自然感染後,「同一冠狀病毒類型,反覆在1年內,可以受到再感染是常見的」。
同樣的,同一流感病毒株,也可在不到2年的時間內,連續發生感染; 呼吸道合胞病毒(RSV),也是會在1年內再次受到感染。這些呼吸道病毒(包括流感病毒,呼吸道合胞病毒(RSV),鼻病毒和冠狀病毒),才會一直普遍生存在人世間。

不幸的「COVID-19病毒,很符合一時不能殺光的病毒、但需要反覆藉以突變及感染的訓練,來壯大免疫力」。
共同感染 ( Co-infection )
在未爆發大流行之前,的許多研究告知我們:一種病毒感染,可以對第二種感染提供短期保護(大約一周)。
研究也證實同時感染呼吸道病毒,並不會增加疾病嚴重程度,但是可能排擠另一種病毒的流行或使延後發生流感。 ( Co-circulating respiratory viruses may interfere with one another while competing for the same resources )

共同感染 ( Co-infection ) ,可以暫時降低病毒的流行率或改變其傳播時間。 例如,2009年夏季在歐洲發生的一次大規模鼻病毒,而延遲了大流行性流感病毒出現的時間。
儘管已記錄了一些COVID-19合併感染其他病毒,流感和呼吸道合胞病毒的共同感染 ( Co-infection ),但尚無足夠的數據得出結論延遲了大流行性流感病毒出現的時間。
季節性 ( Seasonality )
在一年中,許多常見的呼吸道病毒會季節性地重新出現。冠狀病毒(OC43,HKU1,NL63、229E),可以在類流感病毒流行區域,出現季節性傳播。

除了熱帶地方,那些有四季的環境條件例如陽光和濕度可能會,影响COVID-19病毒的傳播。
冬季人們比較喜歡待在室內,病毒易傳播的地方,乾泠空氣也改造了呼吸道的黏膜,更易受到呼吸道病毒。
而也「愈來愈多證據顯示COVID-19病毒在冬季更易傳播」了。
防疫介入 ( Intervention )
研究發現防疫措施介入例如載口罩,社交安全距離,勤洗手,禁止群聚,會減少季節性流感爆發。

這種措施的干擾,也可能是導致最近南半球冬季流感減少的原因。COVID-19病毒,也是經過現防疫措施介入,而有效阻絕或减災。
最後,重整一下:

1.感染和免疫 ( Immunity & Infection )
免疫系統,需要多次受到“反覆感染 ( Re-Infection )”訓練,才能穩定成熟和長期保護身體面對多次突變的病毒。COVID 19 病毒對宿主免疫系統,可能引發更持久的適應性免疫反應。 例如,SARS生存者,其中和抗體,可持續2至5年。
2.病毒交叉影响 ( Virus Interaction )
一種病毒感染,可以對第二種感染提供短期保護(大約一周)。 研究也證實“同時感染 ( Co- Infection )” 呼吸道病毒,並不會增加疾病嚴重程度,但是可能排擠另一種病毒的流行或使延後發生流感。
3.季節性 ( Seasonality )
除了熱帶地方,那些有四季的環境條件例如陽光和濕度可能會,影响SARS-CoV-2的傳播。愈來愈多證據顯示COVID-19“在冬季更易傳播”了。
4.防疫介入 ( Intervention )
研究發現防疫措施介入例如載口罩,社交安全距離,勤洗手,禁止群聚,會減少季節性流感爆發。 這種措施的干擾,也可能是導致最近南半球冬季流感減少的原因。再加上疫苗介入,COVID 19 的傳播會緩解 ( SLOW DOWN )
以上4大因素:反覆感染 ( Re-Infection )訓練、同時感染 ( Co- Infection )、季節性 ( Seasonality )和防疫介入 ( Intervention ) :
都必逼使COVID-19 病毒,走上成為地方性流行病 ( Endemic Disease )
和所有人類常見的呼吸道病毒(包括流感病毒,呼吸道合胞病毒(RSV),鼻病毒和冠狀病毒)普遍一直存在,而我們呢?也可能會要年年打疫苗了。
即使流感化了,你也必需年年打疫苗
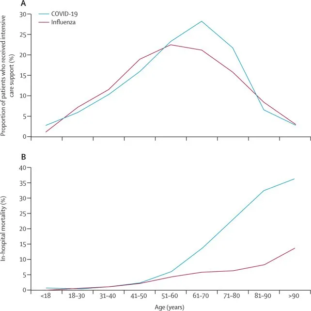
根據刊登在“刺胳針呼吸道醫學”(Lancet Respiratory Medicine)期刊、研究人員使用全法國數據的結果 :

1.死亡率 :
流感死亡率是5.8%,COVID 9 死亡率是 16.9 % ( 感染COVID 19 死亡率幾乎是流感近3倍 )
2.需要加護病房治療 :
感染COVID 19 病患,有16.3%需要加護病房治療,比流感患者的10.8%來得多
3.住加護病房天數 :
加護病房的平均天數也幾近是兩倍之多,意即平均需要加護治療15天,流感病患則需8天。
無論是死亡率、需要加護病房治療、住加護病房天數都比流感高太多了,目前 :
沒有數據証實流感化後,病毒就變弱了
大家不可不慎,因為感染COVID 19 ,「其死亡率幾乎是流感近3倍」 。
當然也許有一天,COVID - 19 病毒、會像SARS病毒一樣,突變到自己最後也變成“弱肌”,最終弋然而止,但這一天,在今天,尚未到來,你知道了吧?
來源:
如果你已經看到最後 : 【免費支持我】
幫我按下方的【 拍手五下】,我有機會獲得內容創作的酬勞喔~
創作不易啊...
















