狗貓大多偷偷罹患泌尿結石,直到真的出現血尿、尿不出來 (一直蹲蹲不出東西、進出貓砂盆或廁所、焦躁等)、排尿疼痛才被飼主發現帶到動物醫院檢查。而要發現結石得靠影像檢查囉,x光超音波這樣。而不同年齡品種好發的結石有所不同、不同的結石有的可以溶解有的不行因此也有不同的應對措施。我個人認為只要不造成阻塞,便是人間好結石。
美國的明尼蘇達結石中心Minnesota Urolith Center (MUC)一直有在幫大家做泌尿結石 (包括腎結石、輸尿管結石、膀胱結石與尿道結石)分析的工作,所以時不時就能發表一下這個世界上狗貓結石種類的變化。2006-2018年間明尼蘇達結石中心收到10444顆尿路結石,其中5747顆是由兩種以上的礦物質組成。然後不EY地,草酸鈣和磷酸銨鎂成分的結石還是高居冠亞軍,比較特別的是草酸鈣佔比似乎有逐年下降的趨勢 (2006的49.5%到2018的41.8%),磷酸銨鎂迎頭趕上 (06年42.5%到18年42.7%)暫時位居結石之王寶座。

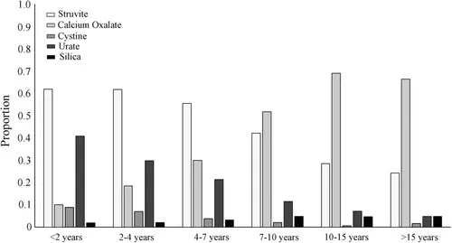
有趣的是不同年齡層的結石組成分也有所不同。身上偷藏草酸鈣結石大多是老狗,有79.5%是大於七歲、磷酸銨鎂則比較常見於年輕的狗 (七歲以下的結石57.6%是磷酸銨鎂)。

不同性別也有不同好發的結石,比方說公狗比較常見草酸鈣、尿酸鹽、胱胺酸結石,而母狗則比較常見磷酸銨鎂。然後絕育公狗比沒絕育的更好發草酸鈣結石。
當然也有好發結石的品種啊!統一統就會跑出容易長結石的品種,(小鼓聲),首先讓我們歡迎時常發生草酸鈣的標準貴賓(高大的那種)、博美、Brussels Griffon、迷你品、拉薩、瑪爾濟斯 (居然寫Maltese terrier!我今天才知道原來他們也是terrier!!!)、迷你雪納瑞和比熊。那大麥町則是比較少發生草酸鈣結石的狗。磷酸銨鎂相對就沒有那麼強的品種好發囉。
講完冠亞軍,第三常見的結石是尿酸鹽結石。小於七歲的狗比較常見尿酸鹽結石 (七歲以下24.9%、七歲以上9.3%),所有尿酸鹽結石的狗之中有62%都是小於七歲的這樣 (4-7歲之間最多)。然後未絕育公狗發生尿酸鹽結石比例也較高。好發品種有大麥町、英鬥(outdoor?)、比特。

然後這些相對比較少見的結石種類的統計學我就覺得相對沒有那麼大的意義啦~畢竟越少見的情況就越難做出有意義的統計。值得一提的是10444顆結石中有141顆是brushite (透鈣磷石),無論英文還是中文都很像罵人的一種石頭。
結石的位置除了xanthine (黃嘌呤)結石之外,其他大多都是膀胱結石。那這些結石中大概有30%有送細菌培養,而有送培養的大概1/4呈現陽性,其中常見的細菌包括Staphylococcusspp. (n = 587; 74.9%),Enterococcusspp. (n = 91; 11.6%),Escherichia coli(n = 54; 6.9%),Proteusspp. (n = 22; 2.8%),Pseudomonasspp. (n = 19; 2.4%), andKlebsiellaspp. (n = 10; 1.3%)。其中磷酸銨鎂和磷灰石結石送培養大概有40%都有菌這樣。
好的,請問他們只收狗的結石嗎?不,他們也收貓的。
沒錯。05-18年蒐集到3940顆貓咪的尿路結石分析發現居然草酸鈣的比例同樣也在逐漸下降,而磷酸銨鎂的比例也是節節上升。另外比較特別的是貓咪上泌尿道的結石中含草酸鈣結石的比例比其他結石高不少。而第三名尿酸鹽結石大概佔不到一成 (361/3940, 9.2%)

磷酸銨鎂結石比例很高是什麼意思?意思是貓咪的結石大多靠飲食調整 (處方飼料或其他飲食調整)、增加水分攝取、開始溶解結石的計畫之後大概2-3週追蹤一次x光看結石有沒有變小,如果有變小的話就持續施行,如果沒有明顯改變就得考慮到是不是其他結石的可能性這樣。對了,在尿液裡面看到結晶,並不代表有結石、也不代表結石的種類哦!
參考文獻:
Lucy Kopecny,Carrie A. Palm,Gilad Segev,Jodi L. Westropp. Urolithiasis in dogs: Evaluation of trends in urolith composition and risk factors (2006-2018)J Vet Intern Med.2021
Lucy Kopecny,Carrie A. Palm,Gilad Segev,Jennifer A. Larsen,Jodi L. Westropp. Urolithiasis in cats: Evaluation of trends in urolith composition and risk factors (2005-2018) J Vet Intern Med.2021





















