
警告寫在前面,本篇會涉及一些「數學」,可能還會有點無聊,請斟酌觀賞。
如果你只是想藉由選擇權獲利,請去看我的最後一句話。
相信各位都聽過「選擇權定價」的BS模型,但它又是怎麼來的呢?
之前我曾自嘲,如果要解釋BS,幾乎是自虐,因為太難講了。
但我思考了一陣子,還是決定挑戰看看吧。
所以,如果我哪裡說錯了,請直接翻桌,感謝各位。
當然,考慮到篇幅,我刪減部分推論過程和假設條件,只保留少數必要敘述,各路高手就別斤斤計較啦。
1. 布朗運動
如果我們把一顆冰糖丟進水中,然後觀察這些微小粒子的擴散,會發現很有趣的現象。
單一粒子,會不斷碰撞其它分子,所以四處亂彈。
把它的軌跡記錄下來,會發現根本沒有規律。
在物理領域,人們稱之「布朗運動」。(Brownian)
後來有個維納先生,使用數學語言,嘗試描述布朗運動,因此它也就得名「維納過程」(Wiener),或是幾何布朗運動。(GBM)
Wiener過程有三個特點。
首先,所有粒子,一開始的位置都在零點。
再來,這一秒的運動距離,和以前的軌跡都沒有關聯,完全隨機。
最後,也是最有趣的,我們隨便找一秒,然後凍結時間,觀察全部粒子的「散佈」狀況,會發現它們呈現「常態分布」。
有人覺得,這根本就是「股價波動」的樣子。
在短時間內,股價幾乎是隨機漫步,無法預測。
而且大部分的走勢都是小漲小跌,只有少數狀況,會發生暴漲暴跌。
所以,對於想要研究價格波動的人們而言,自然的會想套用在布朗運動中。
2. 價格波動和報酬率
回想一下標準布朗運動B(t),它的起點和期望值都是0,那在交易上是什麼意思呢?
答案是,無論價格怎麼變動,交易者一連串的投入最後收益總和是0,但這應該不是我們樂見的。
所以,接下來要加上兩個東西,就是「飄移參數」和「擴散參數」。
飄移參數(μ)只和時間(t)有關,寫成μt
至於擴散參數(σ),常對應到常態分布中的標準差(σ),簡單來講就是定義出縮放係數。
合在一起,就變成

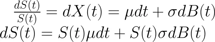
另一方面,我們關心的是價格,所以需要把報酬率轉換一下。
假設價格函數為S(t),則報酬率為dS(t)/S(t)=dX(t)
帶入原式

接著,我們來看看布朗運動的怪脾氣。
3. 破解微積分危機
微積分,是數學中的常見分析工具。
可是面對布朗運動(或維納過程),它沒有切入點。
想一下粒子運動,雖然軌跡「連續」,但是呈現鋸齒狀,也就是「不可微分」。
於是,人類搬出了「變分」。(準確來說是二次變分/變差, quadratic variation)
非常廣義的說,變分和微分的「分析」精神類似。
運用二次變分的過程先省略,但重要結論就是 (dB)^2=dt.

用物理的語言來描述,布朗運動的位移平方和就是時間。
(順便說,一般可微函數的二次變分和是零。)
4. Taylor展開
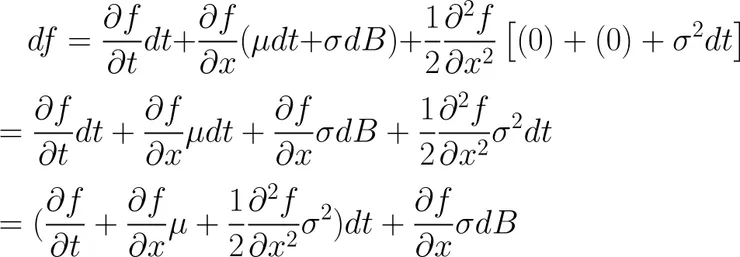
雖然微積分對於布朗運動沒辦法,但我們可以試著用「泰勒展開式」來處理布朗運動函數。
f表示布朗函數B(t)的光滑函數。(每階都連續可微分的意思。)

剛剛我們看到二次變分的結論,這時帶入第二項。
所以,前兩項被保留,但第三項之後都小到可忽略了。

想解這種帶有隨機項的微積分,人類使用另一個工具,就是「隨機微分方程」。(SDE)
而上式這種形狀,也就是Ito(伊藤)引理的基本狀態。
5. Ito引理
合併以上結論,我們可以來稍微跟Ito引理打招呼。
把f泰勒展開,並寫成偏微分形式。

其中我們已知
dX(t)=μdt+σdB
所以

我們知道,dt趨近於0的時候,(dt)^2和dt·db也會變成0。
也早就知道(dB)^2=dt (這在第3點有出現過。)
所以

形狀有個印象即可,其中s和x只是符號差異。
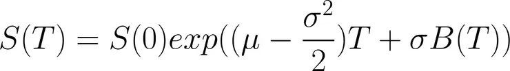
至於價格求解的過程比較複雜,基本上是利用ln來算SDE.
有興趣的朋友可以自行去找資料。
總之,解析解S(T)

這個公式表明了股價和時間的關係,其中μ是算數平均回報,μ-(σ^2)/2是幾何平均回報(例如年化績效)。
6. 刀在手,跟我走
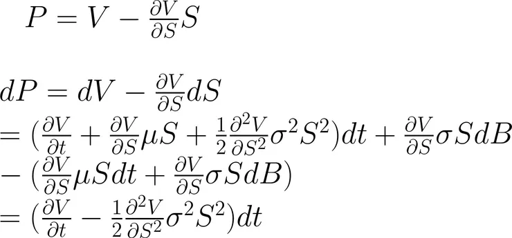
好了,大家可以繼續思考,選擇權的定價。
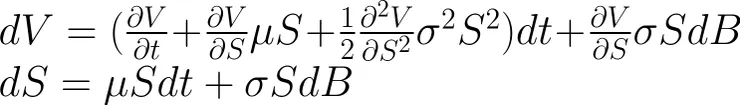
我們先聚焦在歐式Call的價格(V),V是股價(S)的時間函數。

現在,如果我的目標是把dB(隨機部分)去掉,怎麼做?
答案就是long 1個call,然後short ∂V/∂s個股,並把這個組合稱為P (當然,反著做也可以。)

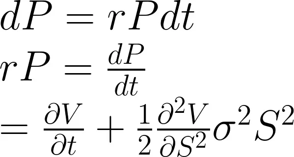
由於P是無風險組合,所以回報也就是無風險回報r

這時,看回選擇權價格V

這個表示型態,也就是BS微分方程式。
以上使用的這招,屬於「無套利定價」下的Delta對沖,求解時會用到「熱傳導方程式」的基本解(Heat Kernel).
對,我平常喜歡無套。
不過條條大路通羅馬,還有很多招數可以使用,殊途同歸。
7. 迷宮倒著走
都說到了無套,我就想到風險。
事實上,還有另一條路是建立在「風險中性定價」之上。
BS微分方程只和股價、利率與波動率有關,但和交易者的風險喜好無關。
事實上,如果風險和報酬(μ)有關的話,那麼BS中的μ在Delta對沖時,已經剛好不見了。
所以我們才能使用風險中性的性質,回過頭找出求解BS微分方程的其它方法。
求解具體過程我就不詳述了,基本上我們會需要三個鑰匙。
首先是「鞅」(Martingale,也就是馬丁格爾策略的原文),使用期望值(E)的概念。
再來是Radon-Nikodym 定理,用在「測度轉換」。
還有Girsanov 定理,確保我們在轉換後仍是布朗運動,這樣才叫鞅。
如果各位對於「無套利」和「風險中性」兩座迷宮的關聯有興趣,也可以走走Feynman-Kac這座橋。
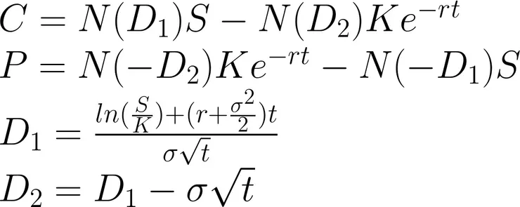
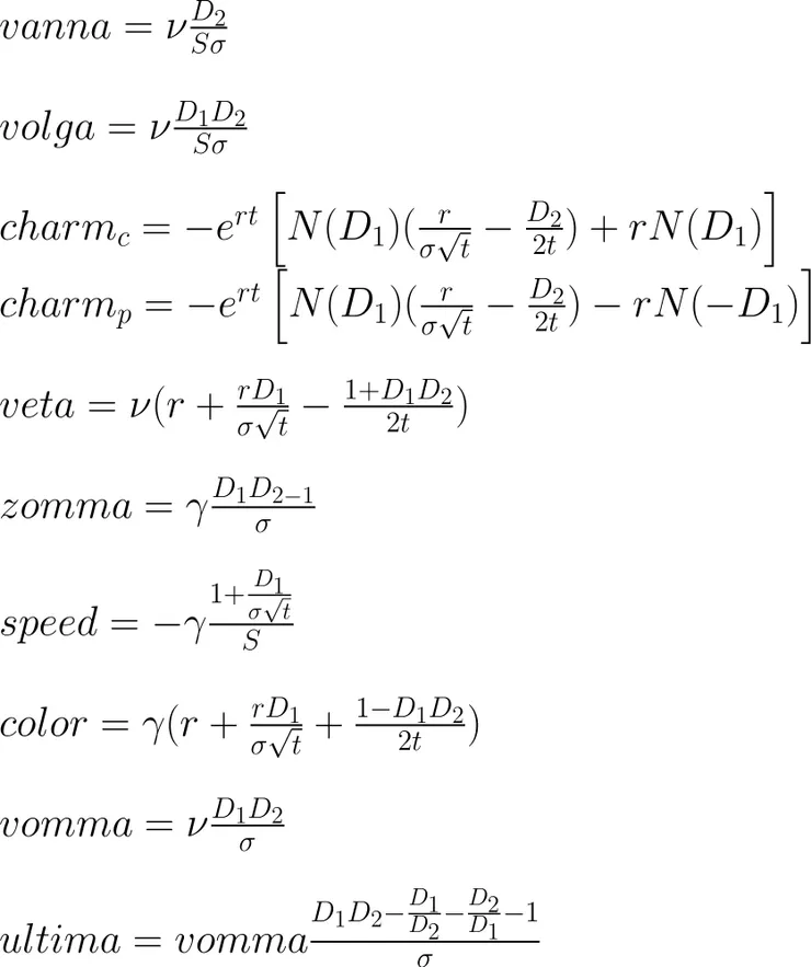
8. 所以公式是什麼?
終於,可以放上BS的公式,以及greeks.

N: 標準常態分佈的CDF
P: put價格
C: call價格
S: 股價
K: 履行價
t: 時間
r: 無風險利率
σ: 回報標準差
Greeks

好,我知道你在想什麼,所以我把其它二三階的greeks也放上來,不過其實網路查表都很方便。

9. 一些彩蛋
BS模型是1997諾貝爾經濟學獎的主題,但它還是有非常多缺陷。
最顯而易見的,大概是使用「常態分布」來描述風險,所以人們也結合不同模型嘗試修正(例如針對α不穩定的的TS家族,或是修正方差的泛ARCH家族)。
另外,GBM假設價格連續,但實際上會有「跳躍擴散」的現象,所以這也是大家應該注意的。
還有,剛剛BS全部都在說歐式,因此美式的定價便需使用更新的模型(例如從二項式推過去)。
對於外匯選擇權而言,需要考慮利率變化,所以有人使用BS的親戚Garman-Kohlhagen.(其實主要就是把r動手腳變成b)
其它模型,像是固定彈性波動模型(CEV)、Heston的隨機波動模型(HSV)、Bates的隨機波動跳躍(SVJ)等,也都提供更貼近真實世界的定價方法。
最後我再次diss一些人。
你會買東西不管價格嗎? 不會。
那有人會買選擇權,卻不知道定價嗎? 會。
所以,這不是理性交易,而是賭博。
我猜會有一些讀者心理嘀咕,說我又在紙上談兵了。
「狂徒啊,我要用選擇權小資大翻身,但我就是不想了解或修正定價模型,那要怎樣才能賺錢? 」
答案很簡單,我只說一次。
「不要碰。」
註: 每一個字和公式都是我自己打的,所以如有出錯請告知我,感謝。
相關文章可參考
風險是常態分布嗎
狂徒書評 認識選擇權的第一本書 〈選擇權價格波動率和定價理論〉
巴菲特與選擇權
選擇權的希臘字母(Dcard)
參考作者和資料: 因子投資方法與實踐的石川先生、Wiki的greeks、Black & Scholes原始論文、Espen Gaarder Haug的選擇權公式書、量化金融領域的Roman Paolucci...沒有他們,我這篇文章可能會難產,所以我向以上作者致上最高敬意。























