
狂徒說: 我可以舉起地球。阿基米德表示: 這算什麼,給我一個支點,我也可以舉起地球。
我認識阿基米德先生,但他或許還不認識我。我在跑酷社團很常練習「倒立」,也偶而會力竭被地球砸到。而阿基米德先生,行動優雅多了,他能夠借助智慧和「槓桿」,輕而易舉的拉動船艦、撐起地球。阿基米德強壯嗎? 或許吧,但重點在於槓桿,而不是他本身的力量。事實上,只要槓桿運用得宜,阿基米德用一隻手指也可以舉起地球。(至於想看單手倒立的,不要找狂徒,請去找健身囚徒。)
1. 時間拉到近代,我們知道在金融領域也有槓桿,而且能夠四兩撥千金。姿勢正確,誰都能舉起地球;可是認知錯誤,誰都能虧掉幾顆地球。那麼我問各位,如果投資者遭受損失,是槓桿的問題,還是人的問題?
好啦,我知道這種問法太老套,那我換另一個比較血腥的情境。記得在那個拿不到駕照的年紀,我、死黨和幾個妹子大約8+9歲,凌晨喝酒後出去飆車,拼完shot拼尾速,結果自撞分隔島和行道樹,安全帽內都是血,我們也住院好幾天。請問,一群未成年公母猴子,酒駕撞樹,是樹的問題、酒的問題、車的問題...還是猴子自己有問題? (我父親親口對我說,他覺得行道樹很無辜。醫學院朋友也告訴我,醫療資源用來接我的手腳就是浪費。後來,我花了十幾萬買全身裝備,轉戰封閉賽道了,這是後話。)
是吧,人或猴子自己的問題才對。把油門轉到底的是騎士本身,把槓桿開到極限的也是投資者自己。達爾文沒把我淘汰掉,是機率問題,喉嚨上劃開的一道血痕尚淺。同理,市場如果把槓桿投資者吞噬,只能算他活該,被傷得太重而再也爬不起來。在我眼裡,市場上的參與者,都應該為自己負責,而不是受到傷害了,再怪別人無情、怪工具有問題、怪槓桿風險高、怪市場帶壞了乖兒子。
接下來,我會分享槓桿的種類和用法,但是如果你不想聽,不妨直接離開。妳可以擔心溺水,而遠離任何水域;也可以認同我,因為曾經很怕水,於是故意去考救生員執照、加入游泳社團。
2. 我知道,槓桿是某些流派的禁忌話題,所以有些人乾脆不講。但基於介紹工具的精神,我不但要講解,而且還會提到細節。
首先最簡單的槓桿,就是直接借錢,這包含了融資和貸款,常見於不動產和股票。雖然使用方便,但是通常借貸利率很高,而且有較短的還款期限,所以會讓投資者的獲利空間被嚴重壓縮,往往也只能選擇短線。
還有一種槓桿出現於Lifecycle Investing等書,也就是長期LEAP,屬於選擇權。它的結構使然,投資者不用擔心爆倉,而且短期內也不會有槓桿耗損。不過長期而言,調整或維持槓桿所需成本較高,而且概念較為複雜,我不大推薦使用。
保證金模式,應該是大家最熟悉的槓桿,畢竟期貨和CFD都是用這種作法。我認為這是好的槓桿方式,因為投資者可以自行決定槓桿率,而且交易成本較低,流通性也不錯。順帶一提,理論上只要保證金不是借的,那麼投資人就不會負債。 (實際上仍要考慮流動性風險,例如鎖死或瞬間穿倉。)
另外,對於指數投資者而言,槓桿型ETF也是實用工具,最大的原因就是手續簡單。這種產品背後也是期貨和相似合約,但基金公司都幫投資者處理好了,我們只需要決定購買的數量和持有期間即可。雖然各ETF內容都是固定的,但透過搭配的方式,大家還是可以調配出理想的槓桿率。
至於其它作法,例如使用權證或當沖,也相當於採用槓桿,但我認為這些都不適合長期投資,而且設計天生不利於投資者,因此就不細說了。
以目前的環境來說,要開槓桿很簡單。妳甚至可以把這些方式都疊加起來,開出超大槓桿,但是妳敢嗎? 不敢,因為大家都知道,過大的槓桿會反噬投資者。那不然這樣,我們都不要投資了,槓桿為零,保證安全。你也不這麼做,因為你知道在風險市場要獲利,就得把資金「曝險」,承受風險換取報酬。因此,在探討槓桿前,我們可以從「風險管理」下手。
3. 我覺得,讀者朋友比較感興趣的,應該是「爆倉」風險,因為這最直觀。
開槓桿只是一種說法,事實上槓桿代表「風險倍率」,它可以等於一,也可以是100, 0, -0.5...等任何數字。資產本身的MDD,乘上槓桿倍率,就是策略的預期最大回撤。假設某股票指數會跌50%,那麼我「當時」的理論極限槓桿就不該超過2倍;如果某組匯率最多有1%波動起伏,那我槓桿可以開到100倍;要是一支股票有10%漲跌限制,那麼當日安全槓桿最高可以到10倍。不過實務上,交易者不一定能接受100%的MDD,除了心理層面外,有些制度像維持保證金,也會設立門檻以降低風險。因此,會操作到完全爆倉甚至負債,通常算是低級錯誤,可以說是交易者或賭徒自找的。
有幾位讀者曾建議我,在講槓桿前,先好好描述「風險」,包括爆倉。我知道這是出於好心或對知識完整性的考量,不過心理覺得這種話很好笑,因為在我眼中,沒有人是「不小心」爆倉的。當你想對一個漲跌隨便都超過5%的BTC用20倍槓桿時,心裡就要有爆倉準備了,不是不爆,時候未到。你明知道會爆,還是想賭下去,最終也爆了,不是剛好而已嗎?
這種事情在交易領域可能很常出現,甚至有trader認為爆倉是一種洗禮,不過既然我不鼓勵交易,就不會在資產配置的文中強調倉位、停損和此類「風控」。
順帶一提,在指數投資領域,爆倉很少出現在字典中,這是天然優勢。最主要的原因,不管股市(或債市等)大盤怎麼跌,歷史上還沒有出現過負的數字,所以指數投資人的資產也不會消失。另一個原因,長期來看這些大盤都是上漲的,所以只要投資人不賣,終究會獲利。
不過,也因為指數跟蹤大盤,所以「正宗」指數投資者,根本不用考慮槓桿,導致「跟風」指數投資者,不知道怎麼運用槓桿。請注意兩者差別,知道而不用,和不知道所以不用,境界不同。我不是說純指數投資不好,而是說我在提到槓桿的時候,主動的交易者通常會提醒我「風險」,但大部分被動指數投資者,卻似乎覺得很「陌生」,更別提爆倉了。所以,不論各位屬於什麼流派、有沒有相關經驗,都不妨思考對於槓桿的認知,當熟悉一種工具後再評論,也會比較客觀。
我相信這裡的讀者水準都夠,不會刻意開啟「爆倉預備型槓桿」,也知道自己的心理承受極限,所以下一段我會著重在資產特性和槓桿的「定量」分析,純粹狂派style.
4. 對於一次交易而言,槓桿是兩面刃,會放大預期收益或虧損。那麼,「多次」交易或「長期」策略中的槓桿呢?
有些交易者,會跟大家說留得青山在、不要傷到本金,也有些人會拿出一張表,說虧損20%就需要補回25%,虧損50%需要賺回100%,虧損90%需要彌補900%。而為了方便解釋,我乾脆自己也畫一張曲線圖。

紅線: 預期損失風險
藍線: 損失後需要打平的報酬
綠線: 絕對爆倉線
我們可以看到,在靠左邊的地方,也就是小倉位、小槓桿損益,虧損大致和所需報酬相當。但是當拉到右邊時,對於虧損所需彌補的報酬,快速攀升。事實上,只要任何一次虧損達到100%,俗稱爆倉,我們就需要無限收益來打平。
所以,不管倉位和槓桿如何組合,我們心中都有兩個期待。第一,不要離右邊太近,否則資金成長會難以維持。第二,也不要離左邊太近,因為左邊的曲線幾乎沒有變動,我其實可以「公平的」承受多一些風險。有些人會說,這種權衡是藝術,但我會說,這明明是「數學」。而在繼續闡述之前,我要用「指數投資者」的語言,把故事再說一遍。
看看大家對於槓桿ETF的「警告」,一定會提到「槓桿耗損」。常見的說法,就是「當大盤已回到原點時,槓桿ETF卻回不來」,而且槓桿越大,差距就越大,我用一張表來解釋。

先注意紅框,大家都可以看出來,只要不是一倍槓桿,那麼最終收益都會不如指數本身。這個結論被一堆指數投資作者拿來宣傳,強調「槓桿耗損」的缺點,甚至推導成「槓桿ETF只能短期持有」,連台灣證交所也有類似說法。
但是,接下來我們可以看看綠框,如果我開了0.5倍槓桿呢? 不但波動小,最終收益也比指數本身好,這到底是什麼妖術? 我相信如果妳是頻繁交易者,喜歡將盤勢分類,應該馬上能知道答案。但如果你跟我一樣,是網路自學的指數投資人,應該會覺得結論很神奇。
0.5倍槓桿,不但比1倍槓桿還好,也比0倍槓桿還好,我要怎麼用「耗損」來解釋? Who's your daddy now?
5. 槓桿耗損和最終收益的關係,說穿了很容易理解。
對於這類精心設計的人工震盪盤,滿倉打進去只是跟著起伏,但是若保留點資金,就有機會在下跌時少點損失,同時部分參與漲幅,長期以來能夠獲利。而如果是單邊走勢呢? 那當然是倉位越大、槓桿越大,獲利越快。
問題是,股票指數「長期來看」是什麼走勢? 震盪向上。那我到底要輕倉對付震盪,還是重倉迎接向上的大趨勢? 我發現要回答這個問題,還真不容易。因為指數投資信徒還卡在綠框那邊覺得神奇,而交易者只會跟我說憑經驗、靠感覺、找平衡。
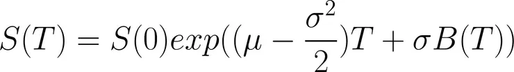
很意外的,我在學習「選擇權定價」的時候,發現了答案,Ito你可以出來打招呼了。我在介紹Black Scholes模型的時候,就提到Ito積分,各位還記得形狀嗎?

μ-½σ²: 幾何平均報酬
μ: 算術平均報酬
你可以告訴我,當我用算術平均報酬(μ)和波動風險(σ)當座標的時候,幾何平均報酬(μ-½σ²)是什麼形狀嗎? 答案是二次函數,也就是「拋物線」。那妳再跟我說,我們要求最大化最終收益,是要求得什麼東西的Max? 正是幾何平均報酬,也就是CAGR或年化績效。
下一步呢? 針對拋物線,求出極值。換句話說,「最佳槓桿率」會出現在μ/σ².
我曾在書中的最終章節提到槓桿和拋物線,希望各位讀者朋友現在能夠將兩者串聯起來。也就是說,不管盤勢怎樣,我們都會有μ和σ²,也就是預期收益和風險,只不過這個極值會變動。有時候,震盪小而趨勢大,那極值就會>1;震盪大而無明顯趨勢,那時的極值就會<1。(這裡先假設兩者皆為正。)
這裡補充,對於主觀投資者而言,會有對預期收益的「信心」,這會影響到他每次下注的金額。我們利用「凱利公式」最大化最終收益的精神,其實和最佳槓桿率相通。想要將兩者連結,我們可以把資產配置和指數投資當成「單次下注」,而算出來的最佳下注比例,也就會是最佳槓桿率。
6. 大家先別急著高興,因為這只是數學必然。
大部分的狀況,就是因為我們用「常態分布」來描述股價波動,才會有平均和變異數的概念可以使用。然而實際上,我認為股價波動並非常態分布,所以依此求出的最佳槓桿率,只能是個參考。更貼近實際投資層面的考量,波動率和預期收益,不斷變動,我們怎麼知道未來也是如此? 況且,通常我們不是討厭波動本身,而是波動造成的「下跌」,那麼變異數真的能夠代表風險嗎?
因此,我認為想估計最佳槓桿率,不必太精確。如我多次提及的,對於渾沌系統精確估計,很可能只是浪費時間。換句話說,市面上既有的槓桿型ETF,已經可以滿足大部分散戶投資者了,至於具體倍率要如何選擇,純粹是投資者的自由。

這是美國標普的槓桿ETF,我們可以看到在大跌和波動的時候,一倍槓桿ETF表現最好,但是只要有長期走勢出現,三倍槓桿的表現最好。至於未來怎麼發展,是震盪、下跌還是上漲? 沒人知道。我只知道,對於槓桿的計算,有個比較合理的數學模型,而不是非黑即白或憑感覺的「心法」。
7. 可以收尾了。我提「槓桿」到底和資產配置有什麼關聯?
大家是否記得我最初提資產配置的時候,就講到夏普率? Sharpe的公式,就是報酬除以波動(μ/σ),而這和最佳槓桿率的公式概念一樣。同時,我們也知道,Sharpe越高,越可以上槓桿。所以將思路合在一起,我們只要建構出Sharpe夠高的策略,就代表體質本身很好,而體質好就能上大槓桿,讓收益更上層樓。
用白話文來說,大家追求的「穩賺」,就是Sharpe很大。只要我們手中有穩賺策略,它的預期收益根本不用多高,因為我們敢加上大槓桿。例如年化績效1%,但年化波動只有0.01%,這樣Sharpe有100,如果我們上1000倍槓桿,就可以得到「一年十一倍」的績效和10%波動。所以反過來說,多數宣稱穩賺的策略都是假的,不然作者早就槓桿壓滿等翻身了。
之後的篇章,我會介紹Dalio的全天候基金,和背後的風險平價策略,而這和槓桿以及夏普率都有關係。





















