假設你有一串時間數列資料,資料時間長度可以是Tick、分鐘K,也可以是日K的等級,請問有甚麼方法可以評估是否為盤整盤 ?
這裡我借用常見的統計檢定方法 : 兩個母群體平均數的t檢定(假設變異數未知且不相等),我的加工作法是把資料分為三等份,然後計算頭、尾資料的平均數、變異數,捨棄中段的資料,然後進行檢定,只要可以拒絕虛無假設,就可以隱含判定有趨勢發生,反之不拒絕虛無假設,則隱含目前是盤整盤兩個母群體平均數的t檢定(假設變異數未知且不相等)計算流程
1. 目的 : 檢定兩個母群體平均數之間的差異,是否達到顯著
2. 限制 : a.若變異數已知,則應採用更強力的檢定方法、b.如果母體為常態分配或是兩個樣本數夠大,則此檢定方法為近似檢定方法、c.此法僅適用於檢定兩者間的均數是否相等 !
3. 計算兩個數據的樣本均數、樣本變異數
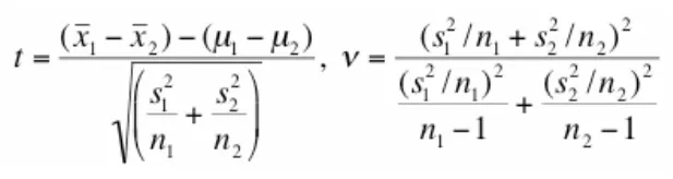
4. t檢定統計量與t分配的自由度(需自行四捨五入取至整數),請參考下圖

5. Multicharts、Excel VBA程式碼,請自行撰寫


















