每篇都要再次說明,所有的教學方法與手段,完全要看:
- 個人因素
- 社經背景
- 對應教材與年齡
數學在二上後半,遇到了一個連貫的主題,因式分解再接一元二次方程式。對一年級有基礎的人來說,問題往往不大,但就是這個基礎兩字,通常國一爆掉的,就筆者個人經驗,學生都是放棄,父母怎樣逼都沒用,送補習班也只是聊勝於無。
所以怎麼辦?建議,找安親化的補習班或家教,不要再管進度了,因為他就是已經跟不上,逼著做沒意義,基本作業完成就好,不會的就慢慢追上來。畢竟放到會考來說,A跟B的落差很難追,而不要落到C卻很簡單,想要到B+以上,可以多點優勢,都可以努力來達成。
那麼,讓我們開始進入,因式分解的常見問題。
因式分解:認知還是要靠練習
如果國一,對因數分解、因數倍數很熟悉的同學,因式倍式以及因式分解,會比較得心應手,只不過是「數字改成方程式」。但有些人跨不過去,扣掉基礎不熟的人,跨不過去的大多出在對「數字」與「多項式」轉換認知的困難。
有沒特效藥?老話一句,沒有。拜託多練一些基礎題,抓到那個感覺,而不要練進階題。
沒記住基本概念?動手累積練習
首先,因式倍式單純講解是問題不大的,例如:
(x-1)(x-2)=x^2-3x+2
x-1 與 x-2 都是 x^2-3x+2 的因式,而x^2-3x+2則是x-1與x-2的倍式。這通常不會有人弄錯,比較常見的是忽略掉基本概念,也就是「A式可以把B式整除,所以A式為B的因式」,x-1 能夠整除 x^2-3x+2,所以為其因式。
這個整除的概念很重要,筆者經驗上會搞不懂的學生,都是因為「用看的」,尤其在公因式的部分,想「看出」兩邊有一樣的式子,忘了能整除就是因式倍數的觀念。
基本概念很重要,有些老師會因為教太熟反而忘了,學生在這裡卡住的第一點是都用看的,家長或是老師若發現不對,他怎樣都不會,十之八九就是
「沒有動手算。」
請讓他把A式去除B式,列直式除法要求算到餘式,當餘式為零才能說是有因倍式關係。因為真的很多學生,只看多項式的外觀,覺得很像就認為有因式關係!
提不出公因式?動手累積練習
接著,最常見的問題,就是提不出公因式,筆者舉一個例子,師長們可能就秒懂問題所在。
(x-1)(x-2)+(-x+1)(2x-1)
這會有同學不知道怎麼提公因式,畢竟因式指的是要有一樣的多項式,上式左右兩邊哪裡一樣?
呃,變個號不就得了?如下:

這真的是個難關,多數卡住的就是轉不過來,因為他們習慣先看,看到很像的才去提出。筆者的建議是先提再說,以這些例子而言,問題出在不習慣動筆計算,若你強迫他先提出 (x-1),反正另外括號內的鐵定不行,先試試看把後面 (-x-1)(2x-1) 拿去除以 (x-1)。
不管他是直接除還是乘開後再除,他最後都會發現差一個負號的事實,也就是筆者的意思,不是矇著眼睛先練再說,是要透過動手計算,抓到這種稍微改變後的公因式題目。
多數還不差的同學,其實是透過多年累積的練習量,自然感覺到這些微小差異,所以立刻看得出差一個負號、差兩倍、差二分之一等等。如下題,這真的要透過累積計算量才會看出來:
x^3(x+1)-x(x^2-2x)
這是比較簡單的類型,簡稱還沒有整理過的題目,正常的作法是先把後面的式子,先提出 x 變成 x^2(x-2),再把兩邊的 x^2 提出。通常學生遇到需要整理過再提供因式的題目,就倒一大半。
原因很簡單,不去動手,用眼睛看,已經養成習慣。
十字交乘法:輔助驗證係數
最後,因式分解的終極難關,十字交乘法,這是一個教方法很簡單,練心法很困難的項目,如下面的基礎題型,正常老師要教的很細,應該都是這樣教的:
2x^2+3x+1
「因為 2x^2 只可能拆成 x乘以2x,所以這個2次式必定是由兩個(x+…)去乘以(2x+…)而來,然後常數項都是1,所以只可能是兩個1互乘……」
也就是透過拆解步驟,讓學生抓住十字交乘法的概念,而不是去記憶拆解的方法。但真的要教速解,筆者倒是覺得有一些技巧可以教,例如下式:

通常學生馬上就可以懂,拆出的兩個式子,2次項是 x 跟 3x,但在12上就會想很久,畢竟12要拆,又有正負號,可是有 1、12;2、6;3、4 好幾種拆法,好煩喔。
其實不會,因為一次項是5x,比12來得小,所以絕對不會是1、12這組,2、6跟二次項的 x 跟 3x 湊不出來,必定是3、4這組。簡單說就是在挑選數字的時候,採用只去記 x 跟誰配,先不要管比較大的 3x。以下解說一下思維,方便師長解釋給學生聽。
因為,x去乘以12分離的因數:
- 1、12這組的數字只會得到x跟12x
- 2、6這組去搭配,會得到2x跟6x
- 3、4這組可以得到3x跟4x
各位可以發現,數字跟乘出的數字較小,記憶也較快,通常去記得需要乘開的數字,再去想不乘開的,會比反過來麻煩。
像學生如果看到第一組x、12x,他再去看到3x怎麼配,就會想到不管怎麼乘,數字正負都湊不出5x,換2、6這組數字也一樣。只要學生四則運算沒有太慢,透過這種先抓小再看大的練習,不需要太多題目,他就可以很快抓到,這題要挑3、4這組再去配正負號。
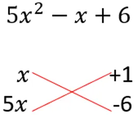
又例如:

正確的解法是 (x-1)(5x+6),也就是拆 1、6,不要挑 2、3。因為中間才1,如果先挑了2跟3,會發現另一個5x乘進去後絕對不會得到1x這個數字。
數感必須練習
上面講的有點複雜,因為跟數感有點關係,這是一種訓練怎樣抓到數字大小匹配的概念,還是老話一句,必須透過練習,很難天生擁有。而筆者建議先固定小的係數,是基於人對默記數字的習慣,小的總是比大的簡單,擴大比縮小找目標快。
真的要說十字交乘法怎麼練習?筆者也只能老實說,到了這個階段,已經是四則運算加上因數倍數跟前面多項式各種綜合,缺了一個都會導致越來越慢。除了努力,請不要輕信特效藥,真的有補習班年輕老師,會想出一些很特別的招式,讓你感覺很快就找到解題法。
這個嘛,沒有內功的招式,是很虛的。



















