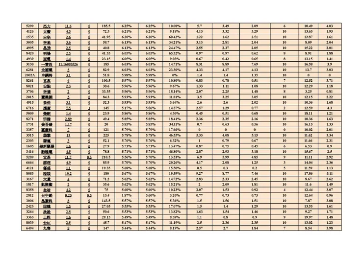
【篩選】台股高殖利率配息公司一覽(統計至02.28)

更新 發佈閱讀 1 分鐘
vocus|新世代的創作平台
vocus|新世代的創作平台
vocus|新世代的創作平台

資料來源:撿股讚
篩選方式:2/28前已公布配息之個股現金股息殖利率達5%(股價以2/25收盤價計算)以上之公司。



留言
avatar-img
小樂財商洞察
1.8K會員
745內容數
各位讀者好!我是小樂,我將在這裡分享這幾年累積的投資觀念與閱讀財經書刊的精華摘要,希望大家都能在股海中找到屬於自己的獲利航道!就讓我們開始吧!
小樂財商洞察的其他內容
2024/03/21
請訂閱小樂投資報:https://allenscashflow.substack.com/ 即日起至4/10中午12:00,請推薦好友訂閱小樂投資報,並將好友的email傳至[email protected]以便確認,統計訂閱成功人數最多的前兩名,即致贈書財商好書一本(隨機給予,恕不挑書!
Thumbnail
2024/03/21
請訂閱小樂投資報:https://allenscashflow.substack.com/ 即日起至4/10中午12:00,請推薦好友訂閱小樂投資報,並將好友的email傳至[email protected]以便確認,統計訂閱成功人數最多的前兩名,即致贈書財商好書一本(隨機給予,恕不挑書!
Thumbnail
2024/03/16
小樂投資報免費訂閱 https://allenscashflow.substack.com/
Thumbnail
2024/03/16
小樂投資報免費訂閱 https://allenscashflow.substack.com/
Thumbnail
2024/03/13
文章連結:https://allenscashflow.substack.com/p/20243 免費訂閱小樂投資報:https://allenscashflow.substack.com/
Thumbnail
2024/03/13
文章連結:https://allenscashflow.substack.com/p/20243 免費訂閱小樂投資報:https://allenscashflow.substack.com/
Thumbnail
看更多
你可能也想看
Thumbnail
在七月至八月初短短九個交易日暴跌4700點後於五個交易日的2200點反彈之後,本篇將透過籌碼的流動來解讀目前個股的穩定性與未來可能趨勢。 您的手中持有下列個股嗎? 這些個股的籌碼正由大戶 (法人) 流向散戶。 篩選條件如下: 前一周散戶 (持股< 50張) 人數增加超過 5% 7/30
Thumbnail
在七月至八月初短短九個交易日暴跌4700點後於五個交易日的2200點反彈之後,本篇將透過籌碼的流動來解讀目前個股的穩定性與未來可能趨勢。 您的手中持有下列個股嗎? 這些個股的籌碼正由大戶 (法人) 流向散戶。 篩選條件如下: 前一周散戶 (持股< 50張) 人數增加超過 5% 7/30
Thumbnail
背景:從冷門配角到市場主線,算力與電力被重新定價   小P從2008進入股市,每一個時期的投資亮點都不同,記得2009蘋果手機剛上市,當時蘋果只要在媒體上提到哪一間供應鏈,隔天股價就有驚人的表現,當時光學鏡頭非常熱門,因為手機第一次搭上鏡頭可以拍照,也造就傳統相機廠的殞落,如今手機已經全面普及,題
Thumbnail
背景:從冷門配角到市場主線,算力與電力被重新定價   小P從2008進入股市,每一個時期的投資亮點都不同,記得2009蘋果手機剛上市,當時蘋果只要在媒體上提到哪一間供應鏈,隔天股價就有驚人的表現,當時光學鏡頭非常熱門,因為手機第一次搭上鏡頭可以拍照,也造就傳統相機廠的殞落,如今手機已經全面普及,題
Thumbnail
本文分析導演巴里・柯斯基(Barrie Kosky)如何運用極簡的舞臺配置,將布萊希特(Bertolt Brecht)的「疏離效果」轉化為視覺奇觀與黑色幽默,探討《三便士歌劇》在當代劇場中的新詮釋,並藉由舞臺、燈光、服裝、音樂等多方面,分析該作如何在保留批判核心的同時,觸及觀眾的觀看位置與人性幽微。
Thumbnail
本文分析導演巴里・柯斯基(Barrie Kosky)如何運用極簡的舞臺配置,將布萊希特(Bertolt Brecht)的「疏離效果」轉化為視覺奇觀與黑色幽默,探討《三便士歌劇》在當代劇場中的新詮釋,並藉由舞臺、燈光、服裝、音樂等多方面,分析該作如何在保留批判核心的同時,觸及觀眾的觀看位置與人性幽微。
Thumbnail
前言 在前兩次的篩選機制心得後,這次來討論剩下幾個部分,主要是權重計算與風險揭露。這檔ETF的權重計算個別個股可以拉高到30%,這樣設計的原因可能為何? 何時可以配息,這個是大家比較關注的,另外也討論不配息的情況是什麼。大多的人,通常很少會去仔細看ETF的風險揭露,這次也來整
Thumbnail
前言 在前兩次的篩選機制心得後,這次來討論剩下幾個部分,主要是權重計算與風險揭露。這檔ETF的權重計算個別個股可以拉高到30%,這樣設計的原因可能為何? 何時可以配息,這個是大家比較關注的,另外也討論不配息的情況是什麼。大多的人,通常很少會去仔細看ETF的風險揭露,這次也來整
Thumbnail
這是一場修復文化與重建精神的儀式,觀眾不需要完全看懂《遊林驚夢:巧遇Hagay》,但你能感受心與土地團聚的渴望,也不急著在此處釐清或定義什麼,但你的在場感受,就是一條線索,關於如何找著自己的路徑、自己的聲音。
Thumbnail
這是一場修復文化與重建精神的儀式,觀眾不需要完全看懂《遊林驚夢:巧遇Hagay》,但你能感受心與土地團聚的渴望,也不急著在此處釐清或定義什麼,但你的在場感受,就是一條線索,關於如何找著自己的路徑、自己的聲音。
Thumbnail
週末想放鬆卻不知道能去哪裡嗎?今天推薦給大家中台灣5家超棒的台灣溫泉飯店,從可以欣賞碧綠湖景的日月潭星級飯店,到可以與大自然進行擁抱的台中谷關飯店,你都能在這裡找到心儀的台灣飯店!現在就跟著AsiaYo一起看下去,台灣這座小小的島嶼上有什麼好玩的吧🫵🏻
Thumbnail
週末想放鬆卻不知道能去哪裡嗎?今天推薦給大家中台灣5家超棒的台灣溫泉飯店,從可以欣賞碧綠湖景的日月潭星級飯店,到可以與大自然進行擁抱的台中谷關飯店,你都能在這裡找到心儀的台灣飯店!現在就跟著AsiaYo一起看下去,台灣這座小小的島嶼上有什麼好玩的吧🫵🏻
Thumbnail
前言 00938在篩選機制上與00915真的是很相近,說是胞弟也是合理。這次接續上次內容把下行風險的討論講完,重點來討論到指數的排序方式。 其中投資價值分數的目的就是這個指數設計的核心重點,這次來研究看看。 系列集數 研究1: 經理人對指數設計的理念,觀影心得 研究2: 官
Thumbnail
前言 00938在篩選機制上與00915真的是很相近,說是胞弟也是合理。這次接續上次內容把下行風險的討論講完,重點來討論到指數的排序方式。 其中投資價值分數的目的就是這個指數設計的核心重點,這次來研究看看。 系列集數 研究1: 經理人對指數設計的理念,觀影心得 研究2: 官
Thumbnail
本文針對半導體供應鏈個股,進行其均值/便宜價及昂貴價之更新和分享,均值之估算包含2024年之EPS估計值。個股則包括:台積電, 聯電, 環球晶, 上品, 閎康, 弘塑, 崇越, 京鼎, 中砂, 辛耘, 家登, 華景電。 去年在半導體製造產業,呈現二極化的發展。在高階製程及先進封裝領域蓬勃發展,而在
Thumbnail
本文針對半導體供應鏈個股,進行其均值/便宜價及昂貴價之更新和分享,均值之估算包含2024年之EPS估計值。個股則包括:台積電, 聯電, 環球晶, 上品, 閎康, 弘塑, 崇越, 京鼎, 中砂, 辛耘, 家登, 華景電。 去年在半導體製造產業,呈現二極化的發展。在高階製程及先進封裝領域蓬勃發展,而在
Thumbnail
在台股今日再度創下歷史性大跌、7月中至今修正超過4500點、台指期面臨 10% 跌停的同時,上周的籌碼流動狀況如何?
Thumbnail
在台股今日再度創下歷史性大跌、7月中至今修正超過4500點、台指期面臨 10% 跌停的同時,上周的籌碼流動狀況如何?
Thumbnail
今日股市大跌,高股息ETF瘋搶爆量,你搶對了嗎?
Thumbnail
今日股市大跌,高股息ETF瘋搶爆量,你搶對了嗎?
Thumbnail
《轉轉生》(Re:INCARNATION)為奈及利亞編舞家庫德斯.奧尼奎庫與 Q 舞團創作的當代舞蹈作品,結合拉各斯街頭節奏、Afrobeat/Afrobeats、以及約魯巴宇宙觀的非線性時間,建構出關於輪迴的「誕生—死亡—重生」儀式結構。本文將從約魯巴哲學概念出發,解析其去殖民的身體政治。
Thumbnail
《轉轉生》(Re:INCARNATION)為奈及利亞編舞家庫德斯.奧尼奎庫與 Q 舞團創作的當代舞蹈作品,結合拉各斯街頭節奏、Afrobeat/Afrobeats、以及約魯巴宇宙觀的非線性時間,建構出關於輪迴的「誕生—死亡—重生」儀式結構。本文將從約魯巴哲學概念出發,解析其去殖民的身體政治。
Thumbnail
川普秋風掃落葉~誰說「苔深不能掃,落葉秋風早」 強勢總統再現:總統普選得票數、選舉人票、參院席次、眾院席次,全部遙遙過半,川普將完全執政,美股四大指數,除了費城半導體外,都再創歷史新高,就是反應這個絕對利多 但這個利多是美國人專屬,對於其他國家而言,特別是亞洲國家,從現在開始,就是繃緊神經的時刻
Thumbnail
川普秋風掃落葉~誰說「苔深不能掃,落葉秋風早」 強勢總統再現:總統普選得票數、選舉人票、參院席次、眾院席次,全部遙遙過半,川普將完全執政,美股四大指數,除了費城半導體外,都再創歷史新高,就是反應這個絕對利多 但這個利多是美國人專屬,對於其他國家而言,特別是亞洲國家,從現在開始,就是繃緊神經的時刻
追蹤感興趣的內容從 Google News 追蹤更多 vocus 的最新精選內容追蹤 Google News