介紹完弗萊明定則後,驚覺忘了告知馬達內所使用的角度標示,指的都是電氣角(Electrical Angle),而非普羅大眾所熟知的機械角(Mechanical Angle),因此在此補充說明。
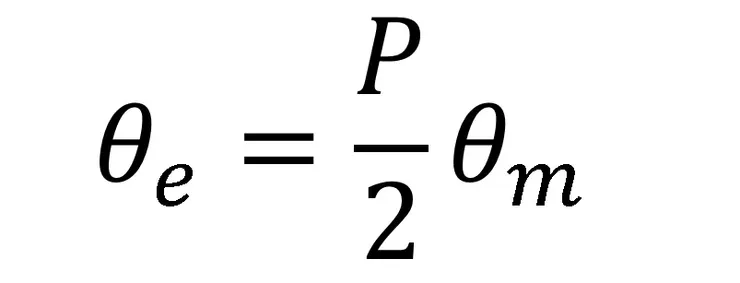
電氣角最大的問題在於"名字"。這是個活生生的例子,讓人體會一下錯誤的名稱是如何大幅度的增加學習難度,包括筆者一開始看到轉換公式時,也覺得莫名其妙。電氣角轉換公式中,θ就是角度符號,e代表電器,m代表機械,P是磁場數量,基本上一定是偶數;若是使用磁鐵的馬達中,可以對比為磁鐵的片數。當中還要注意,機械角θm就是日常認知的圓角度,一個圓為360度。
以公式計算可以得到,若是馬達使用兩片磁鐵的情況下,則機械角等於電氣角。若是四片磁鐵,那機械角除以2就等於電氣角。若是六片磁鐵,那就是機械角除以3...,這算式並不難算,但因為不理解,每次都要透過計算來取得對應的角度值,十分麻煩,總覺得有種更簡單的對照關係才對。
最後筆者終於了解了,原來電氣角是把磁場迴路當做360度的圓,N極的部分是0度到180度,S極就是180度到360度。也是因此轉換公式才會要先找出磁場數量,再對真實的圓去做比例換算。
若一開始的時候,名字叫做磁極角,這樣豈不是學得又快又好?由下圖來看,直接針對磁鐵作角度標示,這就十分簡單了。

同時順便來看一下DQ軸的部份,這時也可以發現,磁極的交界處,也大多就是磁通量最小之處,也就是Q軸位置,而磁鐵正中央,往往也是磁力最強的位置,也就是D軸。不過這主要是針對靜態時的情況,動態時還有線圈磁場的交互作用,情況會更混亂些。
重點整理:
馬達中一組NS極就代表360度。
好的名字讓人上天堂,壞的名詞讓人住套房。
#可擔任業界顧問、講師
#個人經營歡迎贊助
馬達技術傳承計畫
想要馬達的技術嗎?想要的話可以全部給你,去找吧!
我把所有的知識都放在那裡了。



















