本文要討論馬達轉矩對電動自行車加減速能力的影響。
由於在挑選電動自行車時,廠商往往會標示功率及轉矩等資訊,讓客戶方便挑選;此類數據雖然能作為產品比對的差異,但這些數據並無法輕鬆的讓一般民眾體會其差異性。我們無法了解350W是否真的符合使用需求? 30Nm的轉矩的大小到底影響了什麼?
首先來看一段往返達100公里的騎乘記錄,因分為來回兩段,此處僅秀單程約50公里的部份。由記錄中可知,騎乘的平均電流為2A,峰值電流也僅達到8A,若乘上電池的電壓值平均為39V,代表平均輸入功率為39*2=78W,而峰值輸入功率為398=312W。

看完實際騎乘記錄,再比對產品規格,就產生了很詭異的情況。輸入功率最高也才312W,搭配馬達效率為85%時,代表最高輸出功率也才265W而已;若是平均輸出功率,也就66W,為何產品標示為輸出功率350W?
其實這輸出功率350W是指此顆馬達的可輸出能力,但並不代表實際騎乘時,需要達到此一規格。單純一點可以把350W當成一個上限值,在載重或是爬坡時,需要大功率輸出時,可達到350W而已;當正常使用時,往往是低於350W的狀態。
而大功率及轉矩,扣除掉載重及爬坡的情況外,最主要的差異,就是在電動自行車的加速度表現。這點可由數學式中直接看出,下圖上方的輸出功率方程式中的Pout為輸出功率、T為輸出轉矩、ω為角速度;下圖下方的轉矩方程式中J為轉動慣量,α為角加速度。

則由上述的輸出功率方程式來看,當輸出功率固定為350W時,可以發現速度不同時,轉矩會有對應的變化;直觀的說法就是,電動自行車的時速越高時,轉矩會越小,這樣才能維持固定功率350W的狀態。因此當輸出功率更大時,例如加大到500W,那在相同的時速下,轉矩會增加1.42倍。
此時我們再觀察轉矩方程式,其中的J轉動慣量,可以簡化視為重量,也就是電動自行車與騎乘者的整體重量。假設同一騎乘者及同一台電動自行車的情況下,就代表轉矩越大時,加速度會越快;也就是時速0到25公里所花的時間越短。
因此當我們獲得轉矩值時,可透過計算來求得電動自行車的加速時間,其基本概念可參考下圖,馬達的轉矩T作用在電動自行車的輪子上,在透過輪胎與地面的磨滅來傳遞力量F,使得自行車向前。因此在轉矩轉換為力作用時,要計算輪子的尺寸;而目前自行車輪子都是標示英制尺寸,還會有單位換算的問題。

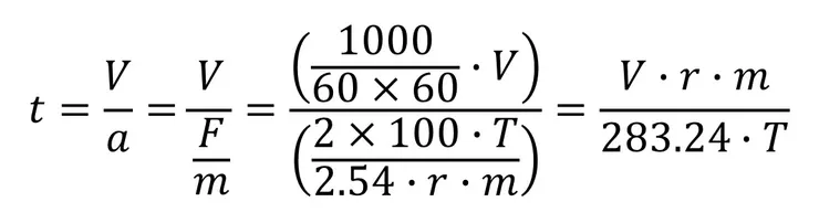
因此在計算電動自行車加速能力時,其完整數學式表示如下,當中數字的部份都是為了進行單位換算,t為加速時間,單位是秒(S);V為時速,單位是每小時公里(Km/hr),因此在數學計算時轉換為每秒公尺(m/s),因此會有個公里與公尺的倍數差1000,還有小時轉換為秒的60乘上60的轉換數值;a為加速度,單位是米每秒平方(m/s^2);F為作用力,單位為牛頓(N);m為移動慣量,就是車重加上人重的總重量,單位是公斤(kg);T為輸出轉矩,單位是牛頓米(Nm);r為自行車的車輪尺寸,常見的如26英吋(inch),因此在單位計算上要轉換為公尺(m),會有個2.54的公英制轉換系數,且作用力F的作用距離,其實是車輪直徑的一半,因此要多除2,此外還有個公分轉換為公尺的100倍。將所有單位轉換的數值整理後,可以化簡為除以283.24的數值。

使用上述的數學式,計算一台電動自行車,輸出轉矩為30Nm,車輪為26英吋,總重量為90kg,目標時速為25公里,則可計算其加速時間為6.88秒。也可透過數學計算式知道,當時速目標越高、輪徑越大及重量越重時,所要加速的時間就越長;當轉矩越大時,需要的加速時間就越短。
仍要口頭提醒一下,實務上還有輪胎磨擦力的限制及損失,同時還有各種傳動損失及風損等因素,在此數學式中都未考慮的,因此實際騎乘時,肯定高於此數學式所計算出的秒速。同時也要確認電池及驅動器規格,是否有供給足夠的輸入功率,使輸出轉矩達到30Nm。另外,這是針對定轉矩模式下的計算,但電動自行車中往往採用定功率的模式時,在不同時速時,轉矩值會有變化,會導致加速時間有所變化。
重點整理:
功率及轉矩主要用於重載及加速。
#可擔任業界顧問、講師
#個人經營歡迎贊助
馬達技術傳承計畫
想要馬達的技術嗎?想要的話可以全部給你,去找吧!
我把所有的知識都放在那裡了。



















