有希望我研究的主題可以填以下表單:
問題問卷歡迎追蹤我的方格子,你的支持是我繼續創作的動力

國內知名投資人"麥克風"曾提出,如果要找股市的相對低點,可以看ptt上的畢業文的數量。如果數量越多,就代表越接近相對低點。不過,這種觀察市場情緒的方式是否可以量化,並且為量化投資人帶來超額報酬?答案是可行的。
這邊姑且不論國外許多量化基金運用機器人爬取新聞跟推特內容,來找到股價未反映的套利空間這檔事(相信在座的投資人都跟我一樣是個死散戶,根本沒法跨足這個市場),我們可以使用google trend 來推估市場的情緒,並在短期內賺得超額報酬。
這裡我們引用Da, Z., Engelberg, J., & Gao, P. (2015)的研究,來講解這一切該如何辦到。
量化方式:
首先,我們必須先從過去6個月的數據挑出與當下市場報酬最大負相關的搜尋字詞,如黃金價格、衰退等。

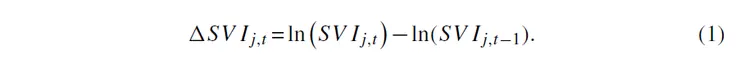
找出與市場情緒相關的字詞後,我們可以將其過去的一天與其一日的搜尋值(SVI),計算其成長率並取ln

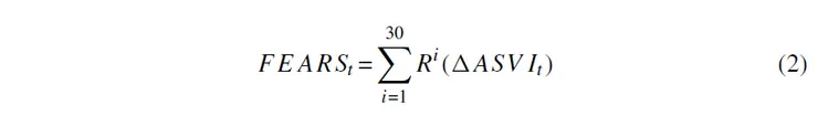
並且將上述的值去除極端值,並將季節影響去除,再將其標準化,最後得出處理後的ΔASVI。
最後將前30附相關字詞所得之ΔASVI相加,便可得出FEAR指數,此指數可有效衡量市場當下的投資人情緒。

指標與市場報酬的關係:
就下圖的回歸結果可以看出,當市場越陷入恐慌,其訊號發生的後2天,其反彈幅度越大,其預測效果甚至勝過目前市場主流用來測量投資人情緒的VIX指標。

指標與市場波動度的關係:
當FEAR指標上升,同時市場的波動性也會上升,可惜其對於未來短期內的VIX指標的預測性不高,如果沒有算力夠強大的電腦對此指標做即時的運算,此指標將難以用於波動度交易(量化基金除外)。
指標與股票報酬之關係:
當FEAR指數越高,後兩天的反彈就越強。而反彈的個股中,就屬高BETA股票的反彈最強,這種股票多為成長股,並且其交易周轉率高,並且最近漲幅較高,市場話題熱的個股,屬於投機型的股票。就台股市場而言,其實只須看最近資金在炒作何類族群便可得知。
投資人可運用的領域及方向:
1. 運用此指標做短期的指數期貨交易,也就是搶反彈
2.作為短線交易機器學習策略的其中一項變數
3.作為股票投機者低檔買入的機會(因為交易周期較短,建議使用股票期貨,並嚴格執行停損)
參考資料:
Da, Z., Engelberg, J., & Gao, P. (2015). The sum of all FEARS investor sentiment and asset prices. The Review of Financial Studies, 28(1), 1-32.
Ding, W., Mazouz, K., & Wang, Q. (2019). Investor sentiment and the cross-section of stock returns: new theory and evidence. Review of Quantitative Finance and Accounting, 53(2), 493-525.



















