
又到了 Who's your daddy系列。
為了節省大家時間,我先把架構列出來。
如果妳只想知道結果,可以直接跳到結尾。
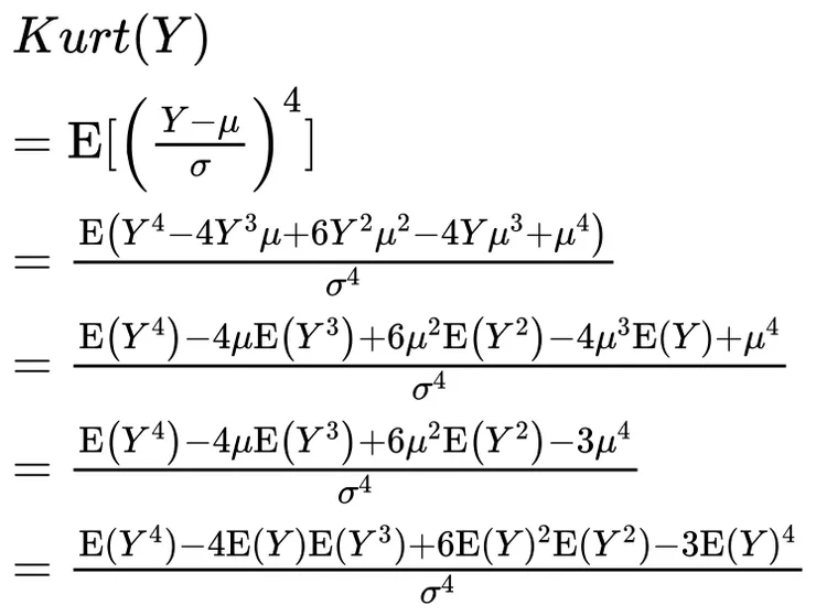
推導部分包含四個階段,分別是常態分佈的機率密度函數(PDF)、矩生成母函數(MGF)、統計的前四階矩(期望值、變異數、偏度、峰度),以及為了應用在槓桿ETF上的調整。
PDF會有極座標轉換、換元積分、分部積分、L'Hôpital(羅畢達)法則。
至於有關LETF和幾何布朗運動(GBM)的內容,可以參考我之前的文章。
為什麼會有這篇文章呢? 主要是幾大原因。
話說台北市的某個凌晨,我跟Jin、他女友剛從夜店跳舞出來,討論到前陣子的槓桿ETF小組招募狀況。
說來好笑,我們瞄準的明明是「大學生新鮮人」,結果來填表的都是高手,真實學歷是碩士、博士。
有自己開投資公司的、有大學系主任、有資深工程師、有國際公司的量化研究員...幾乎每個人手下都有自己帶的團隊。
這些朋友完全可以忽略我的訊息,卻選擇花時間一探究竟。
不管是看笑話還是好奇,我就當這是他們對我的認可了。
而基於此點,我也應該對自己的內容負責。

雖然我在結尾附上提示公式,但這題的答案依然五花八門。
我預期的回答是觀察解析解公式,直接得到定性答案。
結果有位朋友直接寫程式,用大量模擬的方式求解,最終認為我的公式有錯。
我仔細檢查,還真的出錯了。
這相當於客人點XO牛排,結果我只上牛排,忘了加上XO醬。
因此,我開始著手完善公式。
另一方面,我看到PTT上Daze的文章,他也用模擬的方式繪圖,而分布圖顯示的正是LETF正偏。

分布圖看起來是一回事,但數學上又是另一回事,而這也讓我想寫出「方便計算」的數學式。
在找答案和討論的過程中,我發現一件事情很好笑,那就是「我大學根本沒修過統計」。
由於我早年大量接觸因子投資的內容,無形間對於一些統計名詞和模型開始熟悉,結果導致我以為自己學過統計。
要跟一般民眾討論,我完全游刃有餘,甚至我在跟小資YP說他偏度有誤的時候也沒壓力。
可是後來在談到數學推導的細節時,知識的模糊感讓我開始意識到不對勁。
於是我特地找出帳號、重新登入大學選課系統,發現自己真的完全沒上過這些課。
我當場跟身為金融相關碩士的Jin說,我野路子自學,我要寫出大學沒修統計也能看懂的推導,簡稱「高中數學版」。
於是,我嘗試了幾條不同推導路徑,也引用了不同論文,最終找出我認為最容易理解的一條路。
它不是最簡潔的,也不是最天馬行空的,但是如果妳按部就班,就會看懂。
(萬一你明明有高中數學知識,還是看不懂,來問我。)
最後,我說故事給正一和正二基本教義派。
Bogleheads曾經有新進人員質疑LETF根本不該出現在指數投資範疇,結果被資深的會員嗆爆。
Reddits也有過HFEA(UPRO+TMF正三基本教義派)腦子不靈活,看不慣也看不懂某高手而檢舉他/禁言,結果導致這高手帶著一票厲害的人另立門戶,而原先的環境自然變得像宗教團體。
妳可以待在舒適圈過妳那樣的生活,但妳無法阻止天生喜歡前進和突破的另一群人。
接下來是數學推導部分。
關於PDF的由來,我採用Dan Teague的"The Normal Distribution: A derivation from basic principles",他用丟飛鏢的方式來說明。

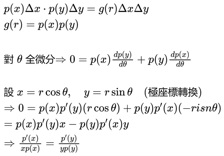
飛鏢要打在灰色區域的機率函數是g(X),而它由x軸的機率函數p(x)和Y軸的機率函數p(y)組成。


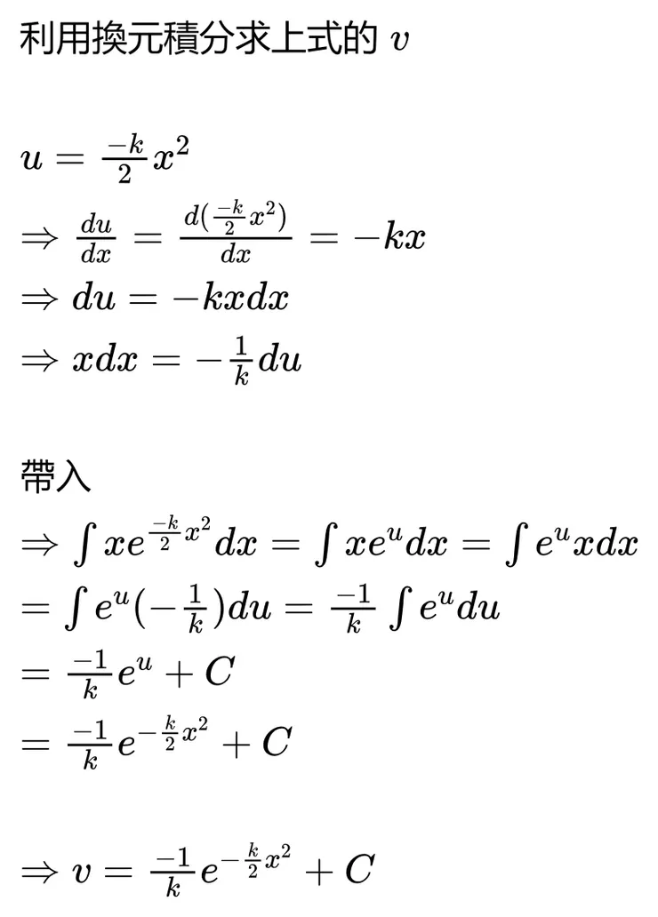
接下來改寫機率函數

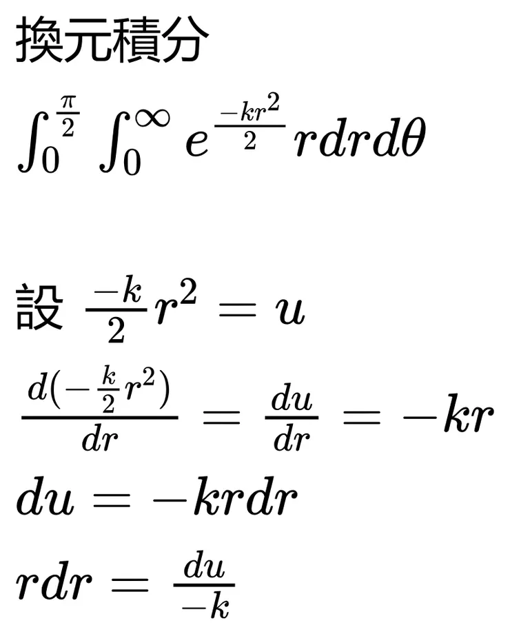
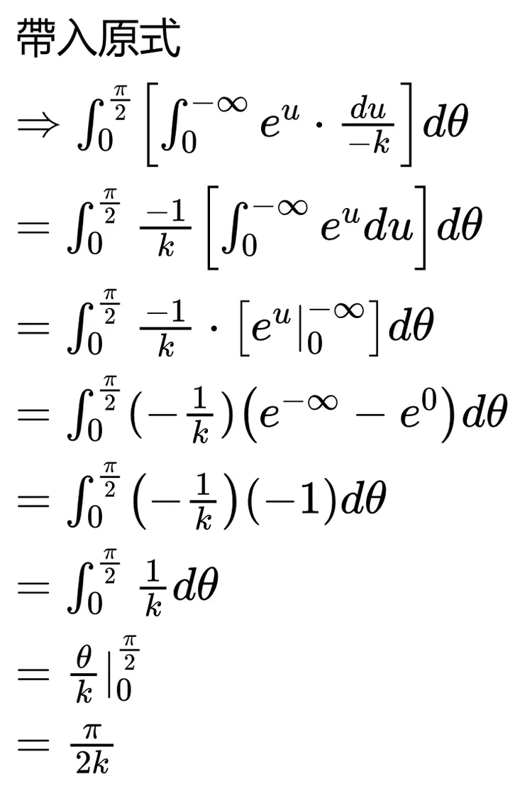
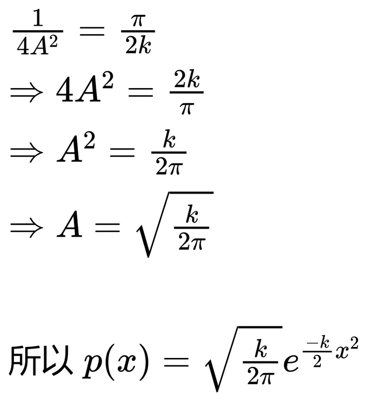
化簡積分部分,再次改寫機率函數,並求出A



現在來看看k





用到L'H,我順便證明






繼續剛剛的簡化,完成PDF的推導


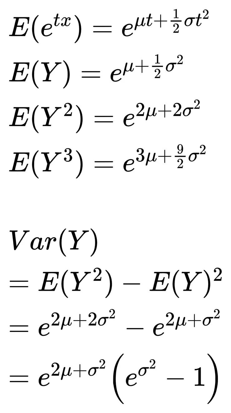
關於MGF,Jin給我看了張翔等人的《提綱挈領學統計》,其中267頁有直白的證明。
利用剛剛的PDF,推導MGF的形式。


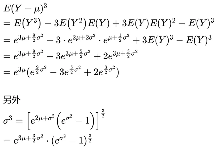
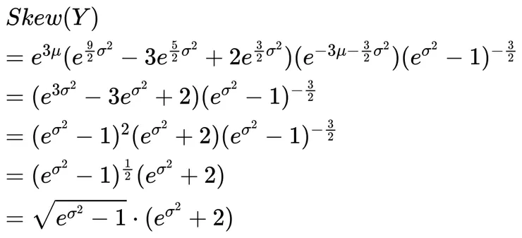
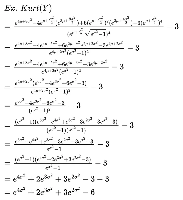
我們有了這些工具之後,就可以推導lognormal的前四階矩。





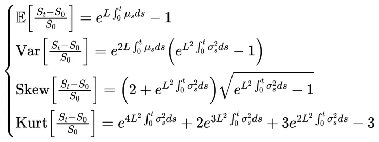
利用Lognormal的性質,結合我之前寫過的文章,並根據Philippe Bertrand, Jean-Luc Prigent的"Analysis and Comparison of Leveraged ETFs and CPPI-type Leveraged Strategies",我們可以知道LETF的期望值、變異數、偏度和峰度。


至此,我們有了理論上的風險指標。
我用程式計算出數值,符合Daze用模擬法做出的結論。

現在,出現了一個非常嚴重的問題。
按照期望值E[X]的寫法,只要槓桿倍率越大,那投資策略報酬越高。
可是依照我之前寫的「槓桿ETF長期報酬」公式,我們可以算出最佳槓桿率,而超過這個倍率就會讓LETF的報酬開始縮水。
為了解釋這兩個看似衝突的結果,我想了多種方式,考慮到易讀性,我決定分別從拋硬幣、機率分布、積分和隨機過程切入。
假設我玩一個L硬幣,翻到正面就可以拿到L元,反面則0元,而正反面機率一樣。
如果L=10,我每玩一次拿回的期望值就是L÷2=5元。
如果L=1000,我每次玩的期望值就是拿到500元。
換句話說,L越大,對我來說越有利。
因此對於下跌有限、上漲無限的遊戲,如果上漲的機率不要太小,那麼長期的獲利期望值為正,我們可以加大槓桿。
實際上,考慮到LETF的機率分布,我複製Daze的參數,也畫出LETF的報酬。
μ=0.0002
σ=0.0125
t=250

我們可以看到,槓桿倍率越高,報酬分布越呈現高偏度,也就是多數小跌配上少數大漲。
同時根據計算,所有報酬分布的期望值確實也同樣上漲。
白話文,當採用高槓桿時,LETF幾乎都會虧損,但是少數賺的時候能夠一次回本,而且還有剩很多。
現在回到數學,考慮到幾何布朗運動的特性,黎曼積分對它無能為力,所以我們採用隨機微積分(例如Ito),推導出常見的表達式。

這就讓一條「已知原始價格變化路徑」所衍生的LETF,報酬多了「波動懲罰項」,具體係數是L(1-L).
然而考慮到lognormal分布,由於左右不對稱,而且越右邊的隨機變量對平均值拉抬效果越大,所以無形間有了「波動獎勵項」。
換句話說,LETF本身的長期幾何平均報酬是 x=μ-½σ²,而 LogN(x,σ²) 的期望值又是 exp(x+½σ²),其中 x+½σ²=μ,結果這一來一回就讓波動項直接抵銷。
實務上,當我們身處已知的市場,根本不可能拿到「平均值」,除非一直搭時光機往返投資。
所以想要利用波動獎勵的投資人,我認為合理做法就是分批投入,並期待市場的均值和方差不變,但是呈現出的路徑又夠多條,這樣才能捕捉到少數的大漲,而代價就是所需時間很長。
另外,對於求穩(最好一直上漲、不要虧損)的投資人而言,鎖定最佳槓桿率並一次性長期投資,靠複利堆疊上去,才是最快速的方式。
恭喜妳看到這裡。
我用最簡單的語言,推導LETF的基礎性質,從此之後妳可以把任何走勢的LETF視為一個獨立資產。
為了簡化,我去除了所有槓桿成本、時間離散和追蹤誤差,然而我可以輕鬆的加回去。
現在妳有期望值、標準差、偏度和峰度,自然就能知道Sharpe,也可以透過報酬分布反推「虧損機率」、「LETF贏原始指數機率」、「n×LETF贏n×指數機率」、「LETF的LETF」...
在資產組合優化領域,我們可以計算多資產ETF各自的最佳倍率(約束條件為報酬或波動),也可以利用風險平價來分配比重。
有人根據LETF的特性,研究「如何用LETF組合出原始指數衍生品」,或是「LETF的衍生商品訂價」。
與時間有關的投資策略上,不管是定期定額,還是週期性再平衡,或是波動率控制,我們也有切入的地方。
至於進階的理論組合,包括考慮三階動差的隨機過程、和時序動量有關的Hurst index、融合原始股價槓桿效應(將本應無關的報酬和波動率結合)以考慮槓桿倍率、針對波動率時序分析(例如GARCH)和模型(例如SVJ,有跳躍)以取代定值波動率(例如GBM)...都是我們在思考的,也歡迎妳寫看看問卷或聯絡我。
當然,如果覺得我哪裡寫錯了,直接開幹就是了 😘
引用/參考:
https://daze68.blogspot.com/2021/04/etf-leveraged-etf-monte-carlo.html
The Normal Distribution: A derivation from basic principles, Dan Teague
提綱挈領學統計 267頁 ISBN:9789865479091
Analysis and Comparison of Leveraged ETFs and CPPI-type Leveraged Strategies, Philippe Bertrand, Jean-Luc Prigent, Dans Finance 2013/1 (Vol. 34), pages 73 à 116
On the risk-return profile of leveraged and inverse ETFs, Guido Giese, Journal of Asset Management volume 11, pages219–228 (2010
Avellaneda, Marco and Zhang, Stanley Jian, Path-Dependence of Leveraged ETF Returns (May 14, 2009). http://dx.doi.org/10.2139/ssrn.1404708
LETF/槓桿投資社群




















