本文將從電流密度(Current Density)的觀點來決定漆包線徑的粗細;實務上要考量更為複雜,包括工作電壓、絕緣強度及法規、尺寸限制、加工能力等等,因此拆分不同主題來進行探討。
電流密度的基本定義可以簡單地從單位上面得知,這也是筆者在研究所時期的體驗之一,單位很重要,不僅僅是用來標示,更多時候可以藉由單位來了解其物理意義。電流密度的單位為A/m^2,也就是安培每平方米,口語的說法就是單位面積上流過的電流量,如下圖所示。
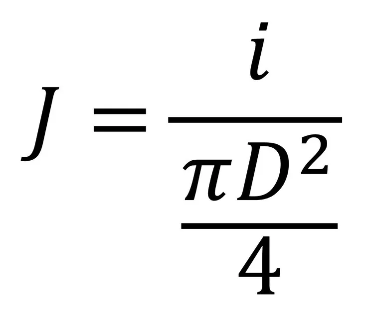
電流密度
單純以馬達的觀點來看,就是電流除以漆包線的截面積,如下圖所示;其中J就是電流密度,i就是馬達電流,D則是漆包線中有效導體的直徑。須注意,由於漆包線表層具備一層絕緣層,因此漆包線的完成外徑會大於銅線直徑,因此要取銅線的實際直徑為主,稱為有效導體直徑。此外,由於漆包線徑大多較細,使用的單位為公釐(mm),因此在馬達業內所提到的電流密度,其常見單位為A/mm^2。

電流密度計算公式
過往筆者在學習馬達時,就曾經請教過老師傅,這電流密度應當如何挑選?在感應馬達為主的年代,前輩們有留下一組經驗公式做為參考;在無散熱風扇的馬達上,電流密度要壓在5以內;若馬達上有安裝散熱風扇,則可拉高,最極致大約是10;倘落超過10以上,需要配合水冷裝置。藉由以上的描述,可以發現電流密度的限制條件,是跟馬達散熱方式有關,也就代表真正的影響要素是溫度。
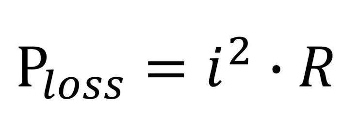
因此可以簡單的理解,電流密度越高,就代表這條導線上的電流值越大,而電流經過之處都會產生導通損失,其計算數學式如下,其中Ploss就代表損失的功,R代表電阻。而這導通損失的功就換轉換為熱的方式存在,進而導致馬達漆包線圈發熱;當散熱能力不足時,就會導致馬達過熱燒毀的情況。

導通損
進而研究導通損的數學式,可以發現電流的大小會直接影響損失的多寡,因此轉成電流密度的表示,就會導致電流密度應該要往小的方向發展,才能有效降低導通損。然而電阻的涵義其實也是一樣的,當導體的截面積越大時,往往電阻也就越小,可以降低導通損;將大的截面積帶入電流密度當中,也就導致電流密度下降。因此無論是從電流值或是電阻值來看,有效降低電流密度,就代表降低導通損,但可以從電流值或是導體截面積著手。
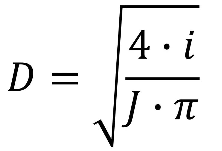
因此可以透過電流密度的限制,來求得漆包線徑的結果,其轉換的數學式如下。但真正困難點,其實不是計算線徑結果,而是如何評估此顆馬達的散熱能力。因此在無法評估散熱能力的情況下,筆者大多建議設計者,能塞多粗的漆包線,就盡量粗;而當空間極限達到時,就要想辦法強化散熱能力,那就能容納較大的電流密度。

導體線徑計算
重點整理:
馬達設計往往是有計算值,但有完整的觀念,大都比計算更珍貴。
#可擔任業界顧問、講師
#個人經營歡迎贊助
馬達技術傳承計畫
想要馬達的技術嗎?想要的話可以全部給你,去找吧!
我把所有的知識都放在那裡了。



















