多層次模型(Multilevel Modeling, MLM)是一種非常有用的統計方法,尤其在處理層次結構數據時,例如學生嵌套於學校中,員工嵌套於公司中等等。MLM 的一個核心功能是解決這些數據中的「非獨立性」問題,因為同一層級內的個體往往共享一些相似的特徵或行為。這些相似性可能來自於某種「群組效應」,例如同一學校的學生會因相似的教育資源或文化環境而表現得比較一致。
付費限定
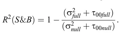
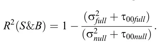
多層次分析該提升層次2還是層次1的樣本數呢?
更新 發佈
以行動支持創作者!付費即可解鎖
本篇內容共 0 字、0
則留言,僅發佈於統計分析 × 學術生涯你目前無法檢視以下內容,可能因為尚未登入,或沒有該房間的查看權限。
留言
教育心理博士的筆記本
269會員
143內容數
文章內容以圖像式和步驟化方式,教您如何在各種統計軟體中(例如:SPSS、R和Mplus),執行多種統計方法。
教育心理博士的筆記本的其他內容
2025/07/15
在統計分析中,當我們處理具有層次結構的數據(如學生和學校的資料)時,採用多層次分析往往會對結果產生深遠的影響。這樣的模型不僅能更精確地反映不同層次之間的變異,也會對係數的顯著性產生影響,甚至使原本顯著的係數變得不顯著。本文將探討為何在多層次分析中,係數會變得不顯著的原因

2025/07/15
在統計分析中,當我們處理具有層次結構的數據(如學生和學校的資料)時,採用多層次分析往往會對結果產生深遠的影響。這樣的模型不僅能更精確地反映不同層次之間的變異,也會對係數的顯著性產生影響,甚至使原本顯著的係數變得不顯著。本文將探討為何在多層次分析中,係數會變得不顯著的原因

2025/06/12
本文介紹瞭如何使用pwrSEM進行功效分析,以確定SEM分析所需的樣本量。pwrSEM是一個專為SEM分析設計的免費網站。作者提供了指定模型、模型視覺化、設置參數值和估計功效的具體操作步驟。讀者可以根據本文提供的教學快速上手。

2025/06/12
本文介紹瞭如何使用pwrSEM進行功效分析,以確定SEM分析所需的樣本量。pwrSEM是一個專為SEM分析設計的免費網站。作者提供了指定模型、模型視覺化、設置參數值和估計功效的具體操作步驟。讀者可以根據本文提供的教學快速上手。

2024/12/30
信賴區間(Confidence interval)是一種用於評估母體參數的區間估計方法。本文主要採用圖文搭配,介紹了信賴區間的計算方法以及信賴區間的解讀。

2024/12/30
信賴區間(Confidence interval)是一種用於評估母體參數的區間估計方法。本文主要採用圖文搭配,介紹了信賴區間的計算方法以及信賴區間的解讀。

你可能也想看






















接續第三章內容,有時候多層次資料不只一個層次,可能具有多種層次,例如:學生屬於某個學校,而學校又屬於某個縣市。本章主要說明三層次之隨機截距模型的公式和SPSS操作,我們先從公式開始,然後在教學SPSS視窗和語法操作,相信看完後,讀者就會了解三層次之隨機截距斜率模型概念和操作。

接續第三章內容,有時候多層次資料不只一個層次,可能具有多種層次,例如:學生屬於某個學校,而學校又屬於某個縣市。本章主要說明三層次之隨機截距模型的公式和SPSS操作,我們先從公式開始,然後在教學SPSS視窗和語法操作,相信看完後,讀者就會了解三層次之隨機截距斜率模型概念和操作。

本文章將介紹實務中進行HLM會需要注意的事項,包含樣本量要求、基本假設、計算解釋變異量和HLM建構策略。

本文章將介紹實務中進行HLM會需要注意的事項,包含樣本量要求、基本假設、計算解釋變異量和HLM建構策略。

階層線性模式(MLM) 或是多層次模式(HLM)可以說是當代社會科學研究重要的統計方法學。現實中,我們收集到的資料可能巢套在不同層層次的單位當中。這種巢套關係很容易違反資料獨立性的假設導致許多傳統統計方法無法使用,本文將從簡單的公式說明多層次資料的問題,並介紹HLM的概念。

階層線性模式(MLM) 或是多層次模式(HLM)可以說是當代社會科學研究重要的統計方法學。現實中,我們收集到的資料可能巢套在不同層層次的單位當中。這種巢套關係很容易違反資料獨立性的假設導致許多傳統統計方法無法使用,本文將從簡單的公式說明多層次資料的問題,並介紹HLM的概念。

5 月將於臺北表演藝術中心映演的「2026 北藝嚴選」《海妲・蓋柏樂》,由臺灣劇團「晃晃跨幅町」製作,本文將以從舞台符號、聲音與表演調度切入,討論海妲・蓋柏樂在父權社會結構下的困境,並結合榮格心理學與馮.法蘭茲對「阿尼姆斯」與「永恆少年」原型的分析,理解女人何以走向精神性的操控、毀滅與死亡。

5 月將於臺北表演藝術中心映演的「2026 北藝嚴選」《海妲・蓋柏樂》,由臺灣劇團「晃晃跨幅町」製作,本文將以從舞台符號、聲音與表演調度切入,討論海妲・蓋柏樂在父權社會結構下的困境,並結合榮格心理學與馮.法蘭茲對「阿尼姆斯」與「永恆少年」原型的分析,理解女人何以走向精神性的操控、毀滅與死亡。

背景:從冷門配角到市場主線,算力與電力被重新定價
小P從2008進入股市,每一個時期的投資亮點都不同,記得2009蘋果手機剛上市,當時蘋果只要在媒體上提到哪一間供應鏈,隔天股價就有驚人的表現,當時光學鏡頭非常熱門,因為手機第一次搭上鏡頭可以拍照,也造就傳統相機廠的殞落,如今手機已經全面普及,題

背景:從冷門配角到市場主線,算力與電力被重新定價
小P從2008進入股市,每一個時期的投資亮點都不同,記得2009蘋果手機剛上市,當時蘋果只要在媒體上提到哪一間供應鏈,隔天股價就有驚人的表現,當時光學鏡頭非常熱門,因為手機第一次搭上鏡頭可以拍照,也造就傳統相機廠的殞落,如今手機已經全面普及,題

本文分析導演巴里・柯斯基(Barrie Kosky)如何運用極簡的舞臺配置,將布萊希特(Bertolt Brecht)的「疏離效果」轉化為視覺奇觀與黑色幽默,探討《三便士歌劇》在當代劇場中的新詮釋,並藉由舞臺、燈光、服裝、音樂等多方面,分析該作如何在保留批判核心的同時,觸及觀眾的觀看位置與人性幽微。

本文分析導演巴里・柯斯基(Barrie Kosky)如何運用極簡的舞臺配置,將布萊希特(Bertolt Brecht)的「疏離效果」轉化為視覺奇觀與黑色幽默,探討《三便士歌劇》在當代劇場中的新詮釋,並藉由舞臺、燈光、服裝、音樂等多方面,分析該作如何在保留批判核心的同時,觸及觀眾的觀看位置與人性幽微。

本章主要說明雙層次之隨機截距模型的公式和SPSS操作,我們先從最簡單的一個Level 1固定自變項模型開始,到複雜的兩個Level 1和1個Level 2固定自變項模型,相信看完後,讀者就會了解雙層次之隨機截距模型概念和操作。

本章主要說明雙層次之隨機截距模型的公式和SPSS操作,我們先從最簡單的一個Level 1固定自變項模型開始,到複雜的兩個Level 1和1個Level 2固定自變項模型,相信看完後,讀者就會了解雙層次之隨機截距模型概念和操作。

多層次資料若使用傳統的中介分析容易導致結果偏誤,所以多層次中介分析旨在解決此問題,本次介紹如何透過MLmed進行多層次中介分析,本文將透過不同案例說明多層次中介分析包含1-1-1 模型和2-1-1模型,也會說明加入調節變項案例,還有多重中介變項案例。每個案例都會講解如何操作和判讀報表。

多層次資料若使用傳統的中介分析容易導致結果偏誤,所以多層次中介分析旨在解決此問題,本次介紹如何透過MLmed進行多層次中介分析,本文將透過不同案例說明多層次中介分析包含1-1-1 模型和2-1-1模型,也會說明加入調節變項案例,還有多重中介變項案例。每個案例都會講解如何操作和判讀報表。

多層次資料問題指的是在社會科學研究中,我們經常透過問卷以班級或學校為單位進行調查,此時收集到的資料很可能存在著多個層次的結構。這意味著我們觀察到的個體或單位被分類或分群到不同的層次中。本文將簡介此用傳統統計分析多層次資料結構的問題和限制

多層次資料問題指的是在社會科學研究中,我們經常透過問卷以班級或學校為單位進行調查,此時收集到的資料很可能存在著多個層次的結構。這意味著我們觀察到的個體或單位被分類或分群到不同的層次中。本文將簡介此用傳統統計分析多層次資料結構的問題和限制

接續第二章內容,本章主要說明雙層次之隨機截距模型的公式和SPSS操作,我們先從公式開始,然後在教學SPSS視窗和語法操作,相信看完後,讀者就會了解雙層次之隨機截距斜率模型概念和操作。

接續第二章內容,本章主要說明雙層次之隨機截距模型的公式和SPSS操作,我們先從公式開始,然後在教學SPSS視窗和語法操作,相信看完後,讀者就會了解雙層次之隨機截距斜率模型概念和操作。

這是一場修復文化與重建精神的儀式,觀眾不需要完全看懂《遊林驚夢:巧遇Hagay》,但你能感受心與土地團聚的渴望,也不急著在此處釐清或定義什麼,但你的在場感受,就是一條線索,關於如何找著自己的路徑、自己的聲音。

這是一場修復文化與重建精神的儀式,觀眾不需要完全看懂《遊林驚夢:巧遇Hagay》,但你能感受心與土地團聚的渴望,也不急著在此處釐清或定義什麼,但你的在場感受,就是一條線索,關於如何找著自己的路徑、自己的聲音。





