連續綜合除法(一)

更新 發佈閱讀 1 分鐘
vocus|新世代的創作平台

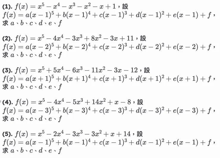
解答:

vocus|新世代的創作平台


留言
avatar-img
WilliamP的沙龍
16會員
621內容數
歡迎來到 WilliamP 的沙龍天地,在這裡將與各位讀者探討各種主題,包刮高中數學題庫、PHP開發經驗、LINE聊天機器人開發經驗、書摘筆記等,歡迎交流!
WilliamP的沙龍的其他內容
2025/05/03
高中數學主題練習—求角平分線
Thumbnail
2025/05/03
高中數學主題練習—求角平分線
Thumbnail
2025/05/03
高中數學主題練習—求角平分線
Thumbnail
2025/05/03
高中數學主題練習—求角平分線
Thumbnail
2025/05/03
高中數學主題練習—兩歪斜線之公垂線段長
Thumbnail
2025/05/03
高中數學主題練習—兩歪斜線之公垂線段長
Thumbnail
看更多
你可能也想看
Thumbnail
這是一場修復文化與重建精神的儀式,觀眾不需要完全看懂《遊林驚夢:巧遇Hagay》,但你能感受心與土地團聚的渴望,也不急著在此處釐清或定義什麼,但你的在場感受,就是一條線索,關於如何找著自己的路徑、自己的聲音。
Thumbnail
這是一場修復文化與重建精神的儀式,觀眾不需要完全看懂《遊林驚夢:巧遇Hagay》,但你能感受心與土地團聚的渴望,也不急著在此處釐清或定義什麼,但你的在場感受,就是一條線索,關於如何找著自己的路徑、自己的聲音。
Thumbnail
背景:從冷門配角到市場主線,算力與電力被重新定價   小P從2008進入股市,每一個時期的投資亮點都不同,記得2009蘋果手機剛上市,當時蘋果只要在媒體上提到哪一間供應鏈,隔天股價就有驚人的表現,當時光學鏡頭非常熱門,因為手機第一次搭上鏡頭可以拍照,也造就傳統相機廠的殞落,如今手機已經全面普及,題
Thumbnail
背景:從冷門配角到市場主線,算力與電力被重新定價   小P從2008進入股市,每一個時期的投資亮點都不同,記得2009蘋果手機剛上市,當時蘋果只要在媒體上提到哪一間供應鏈,隔天股價就有驚人的表現,當時光學鏡頭非常熱門,因為手機第一次搭上鏡頭可以拍照,也造就傳統相機廠的殞落,如今手機已經全面普及,題
Thumbnail
中學數學基礎練習—整數連續加減法練習
Thumbnail
中學數學基礎練習—整數連續加減法練習
Thumbnail
中學數學基礎練習—分數連續乘除法練習
Thumbnail
中學數學基礎練習—分數連續乘除法練習
Thumbnail
中學數學基礎練習—整數除法練習
Thumbnail
中學數學基礎練習—整數除法練習
Thumbnail
本文分析導演巴里・柯斯基(Barrie Kosky)如何運用極簡的舞臺配置,將布萊希特(Bertolt Brecht)的「疏離效果」轉化為視覺奇觀與黑色幽默,探討《三便士歌劇》在當代劇場中的新詮釋,並藉由舞臺、燈光、服裝、音樂等多方面,分析該作如何在保留批判核心的同時,觸及觀眾的觀看位置與人性幽微。
Thumbnail
本文分析導演巴里・柯斯基(Barrie Kosky)如何運用極簡的舞臺配置,將布萊希特(Bertolt Brecht)的「疏離效果」轉化為視覺奇觀與黑色幽默,探討《三便士歌劇》在當代劇場中的新詮釋,並藉由舞臺、燈光、服裝、音樂等多方面,分析該作如何在保留批判核心的同時,觸及觀眾的觀看位置與人性幽微。
Thumbnail
中學數學基礎練習—分數連續乘除法練習
Thumbnail
中學數學基礎練習—分數連續乘除法練習
Thumbnail
5 月將於臺北表演藝術中心映演的「2026 北藝嚴選」《海妲・蓋柏樂》,由臺灣劇團「晃晃跨幅町」製作,本文將以從舞台符號、聲音與表演調度切入,討論海妲・蓋柏樂在父權社會結構下的困境,並結合榮格心理學與馮.法蘭茲對「阿尼姆斯」與「永恆少年」原型的分析,理解女人何以走向精神性的操控、毀滅與死亡。
Thumbnail
5 月將於臺北表演藝術中心映演的「2026 北藝嚴選」《海妲・蓋柏樂》,由臺灣劇團「晃晃跨幅町」製作,本文將以從舞台符號、聲音與表演調度切入,討論海妲・蓋柏樂在父權社會結構下的困境,並結合榮格心理學與馮.法蘭茲對「阿尼姆斯」與「永恆少年」原型的分析,理解女人何以走向精神性的操控、毀滅與死亡。
Thumbnail
高中數學主題練習—兩項求等比數列其他項
Thumbnail
高中數學主題練習—兩項求等比數列其他項
Thumbnail
高中數學主題練習—小數加法練習
Thumbnail
高中數學主題練習—小數加法練習
Thumbnail
中學數學基礎練習—整數連續加減法練習
Thumbnail
中學數學基礎練習—整數連續加減法練習
Thumbnail
中學數學基礎練習—整數除法練習
Thumbnail
中學數學基礎練習—整數除法練習
追蹤感興趣的內容從 Google News 追蹤更多 vocus 的最新精選內容追蹤 Google News