空間中平行四邊形座標(二)

更新 發佈閱讀 1 分鐘
vocus|新世代的創作平台

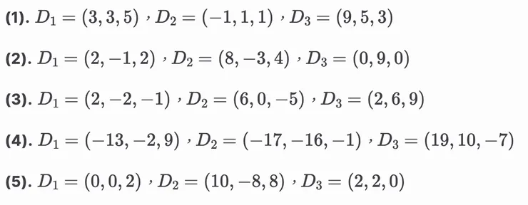
解答:

vocus|新世代的創作平台


留言
avatar-img
WilliamP的沙龍
16會員
621內容數
歡迎來到 WilliamP 的沙龍天地,在這裡將與各位讀者探討各種主題,包刮高中數學題庫、PHP開發經驗、LINE聊天機器人開發經驗、書摘筆記等,歡迎交流!
WilliamP的沙龍的其他內容
2025/05/03
高中數學主題練習—求角平分線
Thumbnail
2025/05/03
高中數學主題練習—求角平分線
Thumbnail
2025/05/03
高中數學主題練習—求角平分線
Thumbnail
2025/05/03
高中數學主題練習—求角平分線
Thumbnail
2025/05/03
高中數學主題練習—兩歪斜線之公垂線段長
Thumbnail
2025/05/03
高中數學主題練習—兩歪斜線之公垂線段長
Thumbnail
看更多
你可能也想看
Thumbnail
高中數學主題練習—兩點斜率
Thumbnail
高中數學主題練習—兩點斜率
Thumbnail
高中數學主題練習—兩向量夾角
Thumbnail
高中數學主題練習—兩向量夾角
Thumbnail
高中數學主題練習—求空間中直線參數式
Thumbnail
高中數學主題練習—求空間中直線參數式
Thumbnail
高中數學主題練習—兩點斜率
Thumbnail
高中數學主題練習—兩點斜率
Thumbnail
高中數學主題練習—分點計算
Thumbnail
高中數學主題練習—分點計算
Thumbnail
高中數學主題練習—直角座標與極座標轉換
Thumbnail
高中數學主題練習—直角座標與極座標轉換
Thumbnail
高中數學主題練習—分點計算
Thumbnail
高中數學主題練習—分點計算
Thumbnail
高中數學主題練習—兩向量夾角
Thumbnail
高中數學主題練習—兩向量夾角
Thumbnail
本文分析導演巴里・柯斯基(Barrie Kosky)如何運用極簡的舞臺配置,將布萊希特(Bertolt Brecht)的「疏離效果」轉化為視覺奇觀與黑色幽默,探討《三便士歌劇》在當代劇場中的新詮釋,並藉由舞臺、燈光、服裝、音樂等多方面,分析該作如何在保留批判核心的同時,觸及觀眾的觀看位置與人性幽微。
Thumbnail
本文分析導演巴里・柯斯基(Barrie Kosky)如何運用極簡的舞臺配置,將布萊希特(Bertolt Brecht)的「疏離效果」轉化為視覺奇觀與黑色幽默,探討《三便士歌劇》在當代劇場中的新詮釋,並藉由舞臺、燈光、服裝、音樂等多方面,分析該作如何在保留批判核心的同時,觸及觀眾的觀看位置與人性幽微。
Thumbnail
《轉轉生》(Re:INCARNATION)為奈及利亞編舞家庫德斯.奧尼奎庫與 Q 舞團創作的當代舞蹈作品,結合拉各斯街頭節奏、Afrobeat/Afrobeats、以及約魯巴宇宙觀的非線性時間,建構出關於輪迴的「誕生—死亡—重生」儀式結構。本文將從約魯巴哲學概念出發,解析其去殖民的身體政治。
Thumbnail
《轉轉生》(Re:INCARNATION)為奈及利亞編舞家庫德斯.奧尼奎庫與 Q 舞團創作的當代舞蹈作品,結合拉各斯街頭節奏、Afrobeat/Afrobeats、以及約魯巴宇宙觀的非線性時間,建構出關於輪迴的「誕生—死亡—重生」儀式結構。本文將從約魯巴哲學概念出發,解析其去殖民的身體政治。
Thumbnail
這是一場修復文化與重建精神的儀式,觀眾不需要完全看懂《遊林驚夢:巧遇Hagay》,但你能感受心與土地團聚的渴望,也不急著在此處釐清或定義什麼,但你的在場感受,就是一條線索,關於如何找著自己的路徑、自己的聲音。
Thumbnail
這是一場修復文化與重建精神的儀式,觀眾不需要完全看懂《遊林驚夢:巧遇Hagay》,但你能感受心與土地團聚的渴望,也不急著在此處釐清或定義什麼,但你的在場感受,就是一條線索,關於如何找著自己的路徑、自己的聲音。
Thumbnail
背景:從冷門配角到市場主線,算力與電力被重新定價   小P從2008進入股市,每一個時期的投資亮點都不同,記得2009蘋果手機剛上市,當時蘋果只要在媒體上提到哪一間供應鏈,隔天股價就有驚人的表現,當時光學鏡頭非常熱門,因為手機第一次搭上鏡頭可以拍照,也造就傳統相機廠的殞落,如今手機已經全面普及,題
Thumbnail
背景:從冷門配角到市場主線,算力與電力被重新定價   小P從2008進入股市,每一個時期的投資亮點都不同,記得2009蘋果手機剛上市,當時蘋果只要在媒體上提到哪一間供應鏈,隔天股價就有驚人的表現,當時光學鏡頭非常熱門,因為手機第一次搭上鏡頭可以拍照,也造就傳統相機廠的殞落,如今手機已經全面普及,題
追蹤感興趣的內容從 Google News 追蹤更多 vocus 的最新精選內容追蹤 Google News