一般而言,筆者只有想要解決馬達過熱的問題時,才會想要加粗漆包線徑,甚至絕大部份的情況,考慮更多的是能否採用更細的漆包線徑,畢竟更細的漆包線代表更低的成本以及更為容易的生產條件。因此當客戶詢問,是否能藉由增加漆包線徑來提高馬達功率時,第一直覺是沒用;不過實際上還是略有優化,只是對筆者而言,這是一種付出的太多得到太少的方法,所以並不推薦。
首先來考慮第一階段,為何對馬達輸出功率一點影響都沒有,可參考馬達輸入功率的計算公式如下,Pout就是馬達輸出功率,T代表馬達轉矩,ω則是馬達旋轉時的角速度,而B為馬達內部的磁場強度,I是工作電流,L即為馬達積厚,D係馬達轉子直徑,N指得是馬達繞線圈數,Sin(δ)表示馬達內部磁場與電場的作用角度。
由上式可見,沒有任何一個項式與漆包線的粗細有關係,最接近的也僅是N項代表著馬達繞線圈數的多寡;由此可以判斷,當漆包線徑加粗的情況下,能繞進馬達槽內的圈數N會變小,進而造成馬達輸出功率變低的反效果,一昧地加粗漆包線徑只會得不償失。
由此可知,客戶的漆包線徑加粗,應當有一個前提但書,必須是在繞線圈數不改變的條件下,盡可能地加粗漆包線徑;此刻就可以從另一個角度來看馬達輸出功率,從損失的觀點來判斷,如下式所式,Pin代表馬達輸入功率,Ploss為馬達損失功率,V是工作電壓,而Pc則是馬達導通損失,Ph係磁滯損,Pe表示渦流損,Pa即為雜散損,Pm表示機械損。

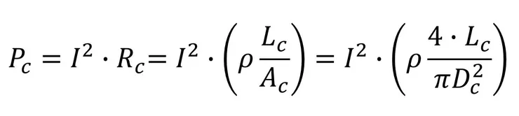
採用這種由輸入功率減去各種馬達內部損失,以求得輸出功率的觀點來看時,細解Pc這項馬達導通損失時,就會發現與漆包線徑的粗細有關聯了。將導通損的計算公式展開如下,其中Rc代表著漆包線圈的電阻值,而電阻值的大小除了受到銅料的物理特性電阻率ρ影響之外,再來要看漆包線的總長度Lc,越長則電阻值越高,但可以注意到漆包線的截面積Ac是分母項,代表面積越大反而電阻會越小,最終導入圓面積求解後可以更直觀的發現,漆包線徑越粗不僅僅是降低電阻值,甚至影響的比例是平方倍。

由此可以得到一條有趣的規格,略為加粗漆包線就可以大幅度的降低電阻值,進而使得馬達導通銅損下降,最終使得馬達輸出功率增加;代表客戶的想法是正確的,但為何筆者反而不認為這是條正確的道路。
主要受到比例尺的關係,假設100W的輸入功率,而馬達效率為90%,代表輸出功率為90W的同時,也表示了此時有10W的損失功率;而這10W的損失當中還要在分為導通銅損、鐵損、機械損,假設銅損一項就占比70%好了,那就是7W的銅損可以藉由增加漆包線徑來降低電阻,達到減少損失的效果;即便認定優化效果十分良好,高達50%的銅損因此消失,代表著銅損降至3.5W,意味著輸出功率會從90W提升到93.5W,馬達效率從90%提升至93.5%。
藉由上述的案例分析可以證明,藉由提高漆包線徑粗度來達到馬達輸出功率增加的成果確實是存在的,但偏偏那個比例讓筆者覺得意義不大,所以不會優先考慮加粗漆包線徑的做法;即便是電動車馬達,採用了最為極端的平角線方案,來增加漆包線面積降低導通銅損,其馬達整體效率也就大約提升個2%,從94%增加至96%。而加粗的漆包線徑不僅是材料成本增加,連生產的難度也拉高,導致整體經濟效益其實並不高,也就是俗稱的CP值太低,因此筆者並不會為了輸出功率增加,而考慮增加漆包線徑的設計方案。
甚至客戶的期待就更不是增加個3.5W的目標值,可能是期望馬達輸出功率從90W提升到120W這樣的期待,那顯然跟降低銅損是沒甚麼關係的,即便銅損值達到0,也不會有那效果,終究是得馬達重新設計才能達到。
重點整理:
馬達的世界,牽一髮而動全身,重點是找到最有CP值的作法。
#可擔任業界顧問、講師
#個人經營歡迎贊助
馬達技術傳承計畫
想要馬達的技術嗎?想要的話可以全部給你,去找吧!
我把所有的知識都放在那裡了。




















