在YT上看到一位老師解一個四次方程式的影片,方程式短短的,

國中開始學習解多項方程式,但止步於二次,最後推導出公式解,便可以對付所有一元二次方程式。到高中一年級,更上一層討論高次,但實際上,課程內教的也只到四次方程。雖然四次多項方程式有公式解,但解法冗長難記也難算,高中課程並不教。既然不用公式,高中生遭遇的題目通常不會亂出,最終可以轉化成解二次方程。解法大概有以下四種類型:
一、試算找出兩個解,便可分解成一次與二次因式的乘積。
二、嘗試分解成兩個二次因式乘積。
三、引進新變數代換成二次方程式的形式。
四、經由提示一個虛根,可分解為兩個二次因式乘積。
接下來進行解題,先看我的解法。
解法一、
我們發現,剛好 24+14=17=(-1)4+(-2)4,
所以代入x=0和x= -3都滿足方程式,也就找到兩個根0與 -3。
但我們知道,四次方程式實根和虛根總共有4個,表示還要找出兩個。
設多項式f(x)= (x+2)4+(x+1)4 -17, 則f(0)=f(-3)=0,
依因式定理, f(x)可分解出x與x+3兩個因式,
所以 f(x) = x.(x+3).g(x), 這裡的g(x)是某個二次式。
由此可知,這屬於第一類型方法。
我們如何知道g(x)長甚麼樣子?簡單,使用綜合除法,把f(x)連續除以兩個一次因式就行了。但是動手做除法之前,必須先展開,合併同次項,並按降冪排列。
展開4次方,可用二項式定理,在《舊業重溫7》中提過(歡迎參閱),此處再溫習一遍:
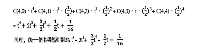
(x+2)4 =C(4,0)x4+ C(4,1)x3.2 + C(4,2)x2.22 + C(4,3)x.23 + C(4,4).24
= x4+ 4.2.x3 + 6.4.x2 + 4.8.x + 16
= x4+ 8x3 + 24x2 + 32x + 16
同理, (x+1)4 = x4+ 4x3 + 6x2 + 4x + 1 (詳細過程省略,以免篇幅過長)
∴ f(x)=(x4+ 8x3 + 24x2 + 32x + 16) + (x4+ 4x3 + 6x2 + 4x + 1) – 17
= 2x4+ 12x3 + 30x2 + 36x
在現行的108課綱裡,二項式定理放在多項式後面,如果學校還沒教到,看不懂,那就把剛剛的忘掉,我們換一條途徑。
前文說到 f(x) = x.(x+3).g(x), 其中g(x)是二次式。那麼,可假設 g(x) = ax2 + bx + c,
也就是 f(x) = x.(x+3).(ax2 + bx + c) = (x+2)4+(x+1)4 -17
找三個好算的數代入x,得到三個a、b、c的方程式,但不要代0和-3,因為會使a、b、c都消失。
代入x= -2, 得 (-2)×1×(4a-2b+c) = 0 + (-1)4 -17 = -16 => 4a-2b+c = 8 ……(ㄅ)
代入x= -1, 得 (-1)×2×(a-b+c) = 14+ 0 – 17 = -16 => a-b+c= 8 ……(ㄆ)
代入x= 1, 得 1×4×(a+b+c) = 34 + 24 –17 = 80 => a+b+c=20 ……(ㄇ)
(ㄅ) (ㄆ) (ㄇ)聯立解得 a= 2, b=6, c=12
∴ f(x) = x(x+3)(2x2+6x+12)
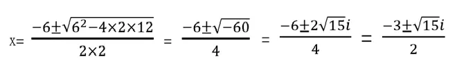
∴本題的另兩根,就是2x2+6x+12=0的兩根,套公式解得


解法二、
擁有銳利眼光看出一兩個根並不容易,欲提升功力,當須在數海浸淫久一點。對於難以洞察幽微的芸芸眾「生」,推薦另一個方法,也是用到二項式定理。有差嗎?看下去再說。
設立新變數t=(x + 3/2), 則原方程式可代換成 ( t + 1/2)4+ ( t –1/2 )4 –17 = 0
仿解法一, 展開前一個括號,

合併化簡, 三次項、一次項係數異號消去, 得新方程式 2t4 + 3t2 –(135/8) = 0
係數同乘以8,去掉分母: 16t4 + 24t2 - 135 = 0
還是四次的,會比較好算嗎?仔細瞧,奇次項都消失了,就是此招的特點。
依指數律 t4 = ( t2 )2 ∴ 16( t2 )2 + 24( t2 ) - 135 = 0
把括號內視為一個未知數,形式上變成二次方程式(第三類型),利用十字交乘法分解為
(4t2 + 15)(4t2–9)=0


最後來看油挑伯(YouTuber)的迂迴絕招。
解法三、
令 x+2=a, x+1=b, 則
a – b =1 ……(ㄈ)
a4 + b4 = 17 ……(ㄉ)
利用乘法公式(請參閱《舊業重溫5》),搭配指數律,
a4 + b4 = ( a2 )2 + ( b2 )2 = (a2 - b2 )2 + 2a2 b2 =[(a+b)(a-b)]2 + 2(ab)2
根據(ㄈ) (ㄉ), 得到
17 =[(a+b).1]2 + 2(ab)2 = (a+b)2 + 2(ab)2 ……(ㄊ)
而(a+b)2 = a2 + 2ab + b2 = a2 - 2ab + b2 + 4ab =(a-b)2 + 4ab = 1 + 4ab
∴(ㄊ)式化為 17 = 1 + 4(ab) + 2(ab)2 , 移項整理,
2(ab)2 + 4(ab) -16 = 0, 係數同除以2, 得 (ab)2 + 2(ab) -8 = 0,
視ab為一個新變數,形式上又是一元二次(也是第三類型),,用十字交乘因式分解,得
(ab+4)(ab-2)=0 => ab= -4 或 ab= 2
代換回x => (x+2)(x+1)= -4 或 (x+2)(x+1)= 2,
後面繼續解兩個一元二次方程式而已。
![[陳傳義]拍攝](https://img.vocus.cc/JMn2fif6FrSBhF7ouwVqv5Ok3Kvb0QBDnBiyhw8AlkQ/w:740/f:webp/plain/https://images.vocus.cc/5377b3ca-168a-4817-9c71-9251ab647c38.jpg)
[陳傳義]拍攝
附言:
本題的常數2,1,17可以變更,未必仍然容易找到明顯的解,解法一或許不好施展,但解法二與解法三依舊可以試試看,不過出題者最好先找好算的結果,不要隨便捏數字,否則可能很難算,答案很醜陋,害慘學生。如果括號內的x前有不同的係數,例如一個2x,一個3x,那麼本文的後兩種解法大概就派不上用場了。




















