矩陣線性變換—旋轉(二)

更新 發佈閱讀 1 分鐘
vocus|新世代的創作平台

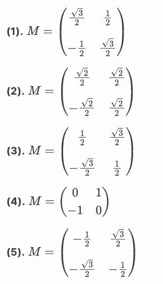
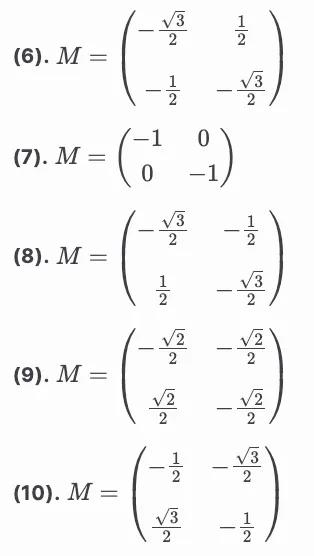
解答:

vocus|新世代的創作平台
vocus|新世代的創作平台



留言
avatar-img
WilliamP的沙龍
16會員
621內容數
歡迎來到 WilliamP 的沙龍天地,在這裡將與各位讀者探討各種主題,包刮高中數學題庫、PHP開發經驗、LINE聊天機器人開發經驗、書摘筆記等,歡迎交流!
WilliamP的沙龍的其他內容
2025/06/07
高中數學主題練習—矩陣線性變換
Thumbnail
2025/06/07
高中數學主題練習—矩陣線性變換
Thumbnail
2025/06/07
高中數學主題練習—矩陣線性變換
Thumbnail
2025/06/07
高中數學主題練習—矩陣線性變換
Thumbnail
2025/06/07
高中數學主題練習—一點線性變換
Thumbnail
2025/06/07
高中數學主題練習—一點線性變換
Thumbnail
看更多
你可能也想看
Thumbnail
高中數學主題練習—三點共線
Thumbnail
高中數學主題練習—三點共線
Thumbnail
《轉轉生》(Re:INCARNATION)為奈及利亞編舞家庫德斯.奧尼奎庫與 Q 舞團創作的當代舞蹈作品,結合拉各斯街頭節奏、Afrobeat/Afrobeats、以及約魯巴宇宙觀的非線性時間,建構出關於輪迴的「誕生—死亡—重生」儀式結構。本文將從約魯巴哲學概念出發,解析其去殖民的身體政治。
Thumbnail
《轉轉生》(Re:INCARNATION)為奈及利亞編舞家庫德斯.奧尼奎庫與 Q 舞團創作的當代舞蹈作品,結合拉各斯街頭節奏、Afrobeat/Afrobeats、以及約魯巴宇宙觀的非線性時間,建構出關於輪迴的「誕生—死亡—重生」儀式結構。本文將從約魯巴哲學概念出發,解析其去殖民的身體政治。
Thumbnail
高中數學主題練習—兩點斜率
Thumbnail
高中數學主題練習—兩點斜率
Thumbnail
高中數學主題練習—點與圓之關係
Thumbnail
高中數學主題練習—點與圓之關係
Thumbnail
高中數學主題練習—線與圓之關係
Thumbnail
高中數學主題練習—線與圓之關係
Thumbnail
高中數學主題練習—過圓上一點之切線
Thumbnail
高中數學主題練習—過圓上一點之切線
Thumbnail
這是一場修復文化與重建精神的儀式,觀眾不需要完全看懂《遊林驚夢:巧遇Hagay》,但你能感受心與土地團聚的渴望,也不急著在此處釐清或定義什麼,但你的在場感受,就是一條線索,關於如何找著自己的路徑、自己的聲音。
Thumbnail
這是一場修復文化與重建精神的儀式,觀眾不需要完全看懂《遊林驚夢:巧遇Hagay》,但你能感受心與土地團聚的渴望,也不急著在此處釐清或定義什麼,但你的在場感受,就是一條線索,關於如何找著自己的路徑、自己的聲音。
Thumbnail
高中數學主題練習—兩點斜率
Thumbnail
高中數學主題練習—兩點斜率
Thumbnail
5 月將於臺北表演藝術中心映演的「2026 北藝嚴選」《海妲・蓋柏樂》,由臺灣劇團「晃晃跨幅町」製作,本文將以從舞台符號、聲音與表演調度切入,討論海妲・蓋柏樂在父權社會結構下的困境,並結合榮格心理學與馮.法蘭茲對「阿尼姆斯」與「永恆少年」原型的分析,理解女人何以走向精神性的操控、毀滅與死亡。
Thumbnail
5 月將於臺北表演藝術中心映演的「2026 北藝嚴選」《海妲・蓋柏樂》,由臺灣劇團「晃晃跨幅町」製作,本文將以從舞台符號、聲音與表演調度切入,討論海妲・蓋柏樂在父權社會結構下的困境,並結合榮格心理學與馮.法蘭茲對「阿尼姆斯」與「永恆少年」原型的分析,理解女人何以走向精神性的操控、毀滅與死亡。
Thumbnail
在AI浪潮下,009819 中信美國數據中心及電力ETF 直接卡位算力與電力雙主軸,等於掌握AI最核心基建。2008從 Apple Inc. 與 iPhone 帶動供應鏈,到如今AI崛起,主線已由應用端轉向底層。AI發展離不開算力與電力支撐,009819的價值,在於押中「沒有它不行」的核心資產。
Thumbnail
在AI浪潮下,009819 中信美國數據中心及電力ETF 直接卡位算力與電力雙主軸,等於掌握AI最核心基建。2008從 Apple Inc. 與 iPhone 帶動供應鏈,到如今AI崛起,主線已由應用端轉向底層。AI發展離不開算力與電力支撐,009819的價值,在於押中「沒有它不行」的核心資產。
Thumbnail
高中數學主題練習—兩向量夾角
Thumbnail
高中數學主題練習—兩向量夾角
Thumbnail
高中數學主題練習—兩向量夾角
Thumbnail
高中數學主題練習—兩向量夾角
追蹤感興趣的內容從 Google News 追蹤更多 vocus 的最新精選內容追蹤 Google News