珠擊shot peening(中國稱為"噴丸")是發動機高負載零件上必要的製程,幾乎遍及所有的轉動件,包含葉片、輪盤、轉動氣/油封等,也包含高負載的零件,如引擎吊架,這個製程利用珠子擊打金屬表面所產生的變形應力來提高零件的抗疲勞cycle fatigue的能力,製程的介紹以後有空再談,有興趣的讀者也可以在網路上查看,本文主要在說明珠擊製程常被混淆的觀念–強度與測量強度過程中的試片弧高。
影響珠擊效果的三個要素是介質(珠子)、強度、覆蓋率,其中測量強度最複雜,由於強度值是在飽和曲線中一個特定的試片弧高,導致許多從業人員及品保人員在學習過程中對弧高與強度產生了混淆,珠擊課程的講師幾乎都會強調其不同,只是會產生觀念混淆的學員比例仍相當高,我後來發現不要直接進入飽和曲線的說明,而是先從強度的本質來說明,能明顯讓學員理解。本質上,強度就是希望定義介質撞擊到工件表面的力道,因此會影響強度的因素有:
(1) 珠子的質量、大小與硬度 (慣性-與質量及速度相關;擊打面積-硬度影響擊打後坑洞的深度,依珠粒大小影響試片表面的擊打面積)
(2) 驅動珠子的氣流壓力 (對珠子的推力,影響其出口的質流量mass flow及速度)
(3) 珠子入射撞擊的角度 (影響擊打表面的垂直分力)
(4) 噴嘴與撞擊面的距離 (珠子出口後空氣阻力、推力與重力所影響撞擊時的速度)
所以強度與工件的材質、外形、加工等狀況無關,和珠擊的時間也不會有關係,珠擊時間再久,其力道並不會改變,但在同樣強度下珠擊的工件會因為其材料、外形以及珠擊的時間產生不同的壓縮應力。
現今工業上的標準珠擊強度測量方法是由美國的John Otto Almen建立的,使用標準的試片Almen Strips在相同的強度下珠擊,由於試片材料的特性,在不同珠擊時間會造成試片彎曲程度不同,珠擊開始時,試片彎曲的弧高會快速的增加,然後逐漸的變緩,不同珠擊時間與相應的弧高可建構所謂的飽和曲線,再利用飽和曲線的特性來定義強度的數值,為了標準化這些數據取得的條件,使用的標準設備包含
(1) Almen Strip:標準試片,承受珠擊,變形彎曲後的弧高作為飽和曲線的數據。
(2) Almen Holder:安置Almen Strip,使其能在標準的狀態下承受珠擊。
(3) Almen Gauge:量測珠擊前後的試片弧高。
飽和曲線與強度
將測試的試片珠擊時間做為橫軸,試片的弧高作為縱軸,將取得的測試數據繪出數據點及擬合曲線,會得到如下圖的圖形。

強度的定義:在飽和曲線saturation curve上的弧高由某個時間點(T)到其兩倍的時間點(2T)時增加10%,這個點稱為飽和點,其時間T的弧高就是強度。
注意:
(1) 強度是用曲線擬合(curve fitting)所得到的數值,不一定是測試的數據。(曲線擬合的方法會影響結果,因此必須驗證!)
(2) 由於飽和曲線為逐漸趨近最大值,這個強度值只會有一個。
(3) 飽和曲線是使用相同強度測試取得,強度與珠擊時間無關,圖上的每一點數據,不論試片被珠擊多久,弧高有多大,其強度都是一樣的。
(4) 試片弧高不等於珠擊強度!只是使用飽和點的試片弧高來表示珠擊強度。
(5) 生產作業時,不是使用飽和點的珠擊時間,而是由另一個珠擊要求-覆蓋率決定,通常用噴嘴的移動路徑與速度控制,以能滿足覆蓋的要求來決定珠擊時間,可以是在飽和曲線附近的任何點,但通常會在測試的第一點和最後一點之間。
(6) 作業點的試片原始弧高需要紀錄留存,每次執行生產作業前必須驗證,確保其弧高與原始弧高的差異在0.001英吋以內,否則應重新測算強度,必要時調整設備的設定並向客戶重報首件許可。
飽和曲線的曲線擬合(curve fitting)驗證
電腦監控的珠擊設備通常會附軟體產生飽和曲線並自動計算強度,這個軟體程式應符合SAE J2597的要求,規範中提供10組的數據,包含輸入數據及期待輸出的強度,若10組數據經由程式計算出來的強度都在期待強度±0.001英吋的範圍內則此程式符合規範。這10組數據如表1。

表1、飽和曲線擬合驗證表
國際大廠的珠擊機附帶的軟體應該都能符合要求,但使用者應在驗機時進行一次驗證,並留下驗證紀錄,完成審查後存檔備查。
如需自行開發,擬合曲線的方法及曲線公式並未規定,但規範有建議三個曲線方程式:

三個曲線都有共通的特徵:
(1) 時間為0時,弧高為0。
(2) 時間為無限大時,弧高會趨近於a
基本的擬合曲線都是多項式如Y=bX+c 的形式,再以最小平方差的原則計算參數值,因此三個曲線方程式都需轉換型態再求解,多項式的擬合曲線的參數解法在教科書都有,不再贅述。
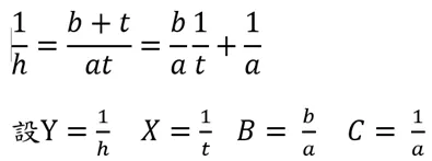
曲線(2)是標準的高原曲線Plateau curve,轉化方式如下:
曲線(2) 方程式,兩邊用1除之

則曲線(2) 轉換成
Y = BX +C 的形式
曲線(1)跟(3)是相同的形式,若曲線(3)中的 c = 1,就成了曲線(1)了,只說明曲線(3)的解法。
曲線(3)兩邊都除以a後,將有指數的項目獨立移到一邊,再取自然對數ln:

ln中的數值小於1,此自然對數為負值,方程式等號左邊為正值。
再取一次自然對數


則方程式轉換成 Y = BX + C
此方程式應沒有解析解,可使用迭代法,選擇不同的a值後反覆運算,求得最少誤差的曲線方程式。
強度決定
依據強度的定義,當飽和時間t0 達到時,其弧高h0,而珠擊時間為兩倍的飽和時間2t0 時,其弧高增加10%,即1.1h0。


實務上為降低作業工時,會用最少的點,也就是4點並以曲線(1)求強度。
