基本概念
微分方程 (Differential Equation)表示包含未知函數以及它的導數的方程式。而所謂一階微分方程 (first-order differential equations),也就是只涉及一階導數 y′ 的方程式。
一個最簡單直觀的例子就是: y′ - cos(x) = 0,它的解就是 y = sin(x)。Separable Equation
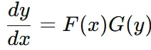
如果一個一階方程可以寫成:

那麼就稱它為 可分離 (separable),意思是等式右邊的組成為「只依賴 x 的函數」乘以「只依賴 y 的函數」。
接下來的解題步驟為:
- 把 y 相關的項目移到一邊,x 相關的移到另一邊

- 積分兩邊

- 解出 y(x),解出的式子不管是顯式形式(指一個函數能夠明確地表示為一個變數(例如 y)與其他變數(例如 x)之間的關係,例如 y=2x+1。在這種情況下,y 的值可以由 x 的值直接計算出來)還是隱式形式(指 x 和 y 混合出現在方程式中的形式,而非簡單的 y=f(x),例如f(x,y) = c),都算是正確答案,稱為一般解或通解(General Solution)。
- 檢查奇異解(Singular Solution):在分離時有可能假設 G(y) ≠ 0,但若 G(y) = 0 本身也能解原方程,就要另外補上這些「奇異解」。
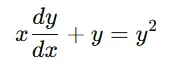
範例: 解微分方程
解:

整理方程式

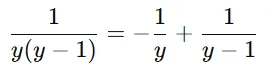
部分分式分解

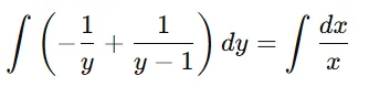
積分

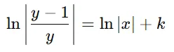
經推導:

解出通解

檢查奇異解
在分離變數的過程中,分母:

因此排除了: y = 0、y = 1,但是這兩個解代回原方程式後,仍然滿足微分方程,因此它們是 奇異解 (singular solutions)。
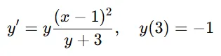
範例: 解初值問題
解:

方程式整理
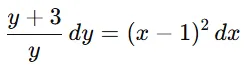
微分方程需滿足 y≠−3。改寫為微分形式:

積分

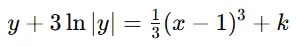
經推導:

這就是隱式通解。
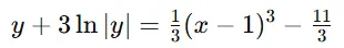
套用初值條件
代入 x=3,y=−1:

因為 ln|−1| = ln1 = 0,所以

最終解答

















