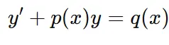
基本概念
一個一階線性方程有以下形式:

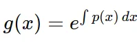
解題步驟
解這類方程的標準方法是 乘以一個積分因子(Integrating factor) g(x):

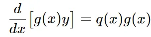
將方程式兩邊都乘上 g(x):

等式左邊會變成一個乘積的導數:

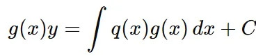
積分兩邊:

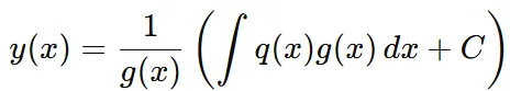
最後可以解出 y:

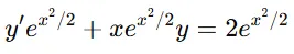
範例: 解一階線性微分方程
解:

分析形式
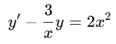
這是一個一階線性微分方程:

積分因子 (Integrating Factor)

化為積分形式
將方程式兩邊乘上積分因子:

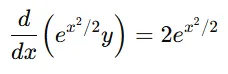
等號左邊為積分因子與y相乘的導數,整體等式變為:

積分求解

因此:

最終解答

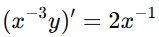
範例2: 解一階線性微分方程
解:

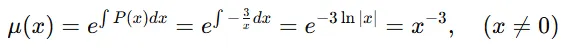
積分因子

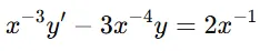
乘上積分因子

左邊可寫成積的導數:

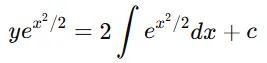
積分求解

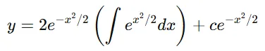
解出通解

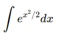
注意上式,因為:

無法表現成任何基本形式,因此,這裡的解答只能以「含積分的形式」表示。不過呢,這樣就算是正確的答案。
















