金融界迄今仍沒有一個完美的風險衡量工具,目前較好的評估方法是利用標準差(Standard Deviation,一般縮寫成SD)來表示資產價值波動,在統計學中標準差是用來描述資料離散程度的🔑工具。
單一標準差計算比較簡單的,這裡用甲、乙公司兩天的股價分別進行示範。
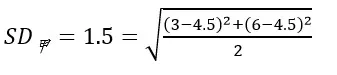
- 📈甲公司:第1天股價3元、第2天股價6元。
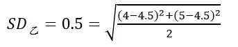
- 📈乙公司:第1天股價4元、第2天股價5元。
甲公司的股價從3元上漲到6元,等於1日內上漲3元;乙公司股價從4元上漲到5元,等於1日內上漲1元,很顯然甲上漲的幅度比乙多。
統計上離散的評估,是以每一樣本與平均值差距加總計算。
此處2家公司的股價平均值均為4.5元。
- 📈甲公司:
第1天股價3元,較平均值差1.5元;第2天股價6元,較平均值餘1.5元。
- 📈乙公司:
第1天股價4元,較平均值差0.5元;第2天股價5元,較平均值餘0.5元。
因此可以知道甲公司的股價分布,較乙公司的股價分布更為離散,甲公司股價的波動率較大。
但在計算上,如果僅直覺性的將每天股價與平均值的偏離程度相加,則會導致加總過程相互抵銷,進而無法計算。
以甲公司為例,第1天波動為 -1.5 (3- 4.5=-1.5)、第2天波動為 1.5 (6 - 4.5 =1.5),相加後為 0 (-1.5 + 1.5 =0)。
因此,要避免相互抵銷,確保計算結果為正,統計學家將各樣本與平均值的偏差程度相減後平方,再將此結果除以(樣本的數量)後再開根號。

📒利用上面的公式:
- 📈甲公司的標準差為1.5

- 📈乙公司的標準差為0.5

既然不同的公司股價標準差不一,投資的風險是什麼?因為無法預知未來的股價,但標準差這個指標,提供另一個面向來思考股價與波動之間的關係。
買入甲公司的股票,可能成交在3~6元之間;而買入乙公司的股票可能成交在4~5元之間。
標準差高、波動大,意謂股價擺盪幅度大,在其他條件相同的前提下,進場買入標準差較高的投資標的時,買入價格會較標準差低的投資標更容易浮動,因此,較有可能成交在離平均值更遠的價位(亦即成交價容易更高或更低的機率較高)。


















