統計檢定運用方法.7

更新 發佈閱讀 2 分鐘

借用優勢比這個概念,觀察價格數據資料的多空變化,資料數據請參考下表一

vocus|新世代的創作平台

假設有A、B兩組前後期間的日K棒,上漲(紅K)、下跌(黑K)的數量分別如上表一,A組上漲下跌的比例為11:34,比數為11/34=0.323、B組為6:64,比數為6/64=0.094,A組期間每一個上漲的個數是B組的3.44倍(0.323/0.094=3.44),這個3.44稱為優勢比(Odds ratio , OR),OR的公式 : ad/bc,進一步的用對數方式來處理可以化為 : L=ln(OR)=ln(a)+ln(d)-ln(b)-ln(c),且實務上為避免有零值的出現,a、b、c、d四個數會給予連續校正,亦即四個數都自動添加0.5

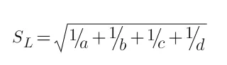
因此以上表數值來看,L=ln(11)+ln(64)-ln(34)-ln(6)=1.239,而統計檢定量L的標準差可由下列公式計算,將數據帶入後可得標準差為0.55

vocus|新世代的創作平台

所以L的95%信賴區間就是1.239加減1.96倍的0.55,也就是(0.161,2.317),然後還原OR的原值,也就是將此對數再取自然對數的指數,OR的95%信賴區間為(1.175,10.145),明顯的,信賴區間的下限值1.175超過0值,說明A組的上漲數擁有優勢


留言
avatar-img
Piemann的沙龍
21會員
122內容數
Piemann的沙龍的其他內容
2025/04/01
2025.04.01 明顯的,Cheat GPT 功能越來越強大,應用範圍只多不少 !! 輸入問題如下 : 1. 有一個隨機碼,長度為5個不重複的數字及小寫英文字母所組成, 例如 e2k9z、ju72d、...,共有一萬筆數據 2. 請設計一個雜湊函數方案,讓隨機碼對應到實數整數空間 3.
Thumbnail
2025/04/01
2025.04.01 明顯的,Cheat GPT 功能越來越強大,應用範圍只多不少 !! 輸入問題如下 : 1. 有一個隨機碼,長度為5個不重複的數字及小寫英文字母所組成, 例如 e2k9z、ju72d、...,共有一萬筆數據 2. 請設計一個雜湊函數方案,讓隨機碼對應到實數整數空間 3.
Thumbnail
2024/12/01
龐氏騙局定義 : 由後繼者的投資本金,支付前期投資者的紅利,謂之 !! 案例 : 制定獎勵生育誘因、追求人口紅利之國策,其實就是隱形的龐氏騙局 !! 那生命的意義,除了在於繼起宇宙生命之外,還有啥意義 ? 對曰 : 還得創造傳奇 ! 那如何創造傳奇 ? 對曰 : 確定目標、集中資源、專研
2024/12/01
龐氏騙局定義 : 由後繼者的投資本金,支付前期投資者的紅利,謂之 !! 案例 : 制定獎勵生育誘因、追求人口紅利之國策,其實就是隱形的龐氏騙局 !! 那生命的意義,除了在於繼起宇宙生命之外,還有啥意義 ? 對曰 : 還得創造傳奇 ! 那如何創造傳奇 ? 對曰 : 確定目標、集中資源、專研
2024/11/17
1990~1991之際,爆發第一次波灣戰爭(市場稱為第三次石油危機),起因是兩伊戰爭期間,伊拉克對科威特欠下巨債,戰後伊拉克藉端生事,要求取消相關債權,科威特不願意,因此伊拉克便開始調動軍隊部署於邊境(1990.七月中下旬),緊張局勢快速升溫,及至入侵(1990.08.02)科威特佔領全境後(199
2024/11/17
1990~1991之際,爆發第一次波灣戰爭(市場稱為第三次石油危機),起因是兩伊戰爭期間,伊拉克對科威特欠下巨債,戰後伊拉克藉端生事,要求取消相關債權,科威特不願意,因此伊拉克便開始調動軍隊部署於邊境(1990.七月中下旬),緊張局勢快速升溫,及至入侵(1990.08.02)科威特佔領全境後(199
看更多
你可能也想看
Thumbnail
5 月將於臺北表演藝術中心映演的「2026 北藝嚴選」《海妲・蓋柏樂》,由臺灣劇團「晃晃跨幅町」製作,本文將以從舞台符號、聲音與表演調度切入,討論海妲・蓋柏樂在父權社會結構下的困境,並結合榮格心理學與馮.法蘭茲對「阿尼姆斯」與「永恆少年」原型的分析,理解女人何以走向精神性的操控、毀滅與死亡。
Thumbnail
5 月將於臺北表演藝術中心映演的「2026 北藝嚴選」《海妲・蓋柏樂》,由臺灣劇團「晃晃跨幅町」製作,本文將以從舞台符號、聲音與表演調度切入,討論海妲・蓋柏樂在父權社會結構下的困境,並結合榮格心理學與馮.法蘭茲對「阿尼姆斯」與「永恆少年」原型的分析,理解女人何以走向精神性的操控、毀滅與死亡。
Thumbnail
市場可以接受的合理本益比並非固定不變的,而是會隨著環境改變,當產業成長性降低,或是資金情勢改變,市場所認定的合理本益比也會調整,企業營運績效或許沒有改變,每股獲利維持同樣水準,但市場認定的合理本益比不一樣,也會讓股價調整。
Thumbnail
市場可以接受的合理本益比並非固定不變的,而是會隨著環境改變,當產業成長性降低,或是資金情勢改變,市場所認定的合理本益比也會調整,企業營運績效或許沒有改變,每股獲利維持同樣水準,但市場認定的合理本益比不一樣,也會讓股價調整。
Thumbnail
本文分析導演巴里・柯斯基(Barrie Kosky)如何運用極簡的舞臺配置,將布萊希特(Bertolt Brecht)的「疏離效果」轉化為視覺奇觀與黑色幽默,探討《三便士歌劇》在當代劇場中的新詮釋,並藉由舞臺、燈光、服裝、音樂等多方面,分析該作如何在保留批判核心的同時,觸及觀眾的觀看位置與人性幽微。
Thumbnail
本文分析導演巴里・柯斯基(Barrie Kosky)如何運用極簡的舞臺配置,將布萊希特(Bertolt Brecht)的「疏離效果」轉化為視覺奇觀與黑色幽默,探討《三便士歌劇》在當代劇場中的新詮釋,並藉由舞臺、燈光、服裝、音樂等多方面,分析該作如何在保留批判核心的同時,觸及觀眾的觀看位置與人性幽微。
Thumbnail
 在實務上,t檢定最常被拿來使用的時機是檢驗兩個群體的(母體)平均數是不是相同。
Thumbnail
 在實務上,t檢定最常被拿來使用的時機是檢驗兩個群體的(母體)平均數是不是相同。
Thumbnail
今年的操作一直維持著不錯的節奏,或許和自己心境的變化有很大的關係。雖然在市場多頭之時賺錢本來就容易,但是,在這樣的市況之下,能夠有意識的選擇去做什麼,或不做什麼,對於自己做這些選擇的理由,和可能產生的結果有清楚認知,最終卻會造成很大的差異。
Thumbnail
今年的操作一直維持著不錯的節奏,或許和自己心境的變化有很大的關係。雖然在市場多頭之時賺錢本來就容易,但是,在這樣的市況之下,能夠有意識的選擇去做什麼,或不做什麼,對於自己做這些選擇的理由,和可能產生的結果有清楚認知,最終卻會造成很大的差異。
Thumbnail
這是一場修復文化與重建精神的儀式,觀眾不需要完全看懂《遊林驚夢:巧遇Hagay》,但你能感受心與土地團聚的渴望,也不急著在此處釐清或定義什麼,但你的在場感受,就是一條線索,關於如何找著自己的路徑、自己的聲音。
Thumbnail
這是一場修復文化與重建精神的儀式,觀眾不需要完全看懂《遊林驚夢:巧遇Hagay》,但你能感受心與土地團聚的渴望,也不急著在此處釐清或定義什麼,但你的在場感受,就是一條線索,關於如何找著自己的路徑、自己的聲音。
Thumbnail
背景:從冷門配角到市場主線,算力與電力被重新定價   小P從2008進入股市,每一個時期的投資亮點都不同,記得2009蘋果手機剛上市,當時蘋果只要在媒體上提到哪一間供應鏈,隔天股價就有驚人的表現,當時光學鏡頭非常熱門,因為手機第一次搭上鏡頭可以拍照,也造就傳統相機廠的殞落,如今手機已經全面普及,題
Thumbnail
背景:從冷門配角到市場主線,算力與電力被重新定價   小P從2008進入股市,每一個時期的投資亮點都不同,記得2009蘋果手機剛上市,當時蘋果只要在媒體上提到哪一間供應鏈,隔天股價就有驚人的表現,當時光學鏡頭非常熱門,因為手機第一次搭上鏡頭可以拍照,也造就傳統相機廠的殞落,如今手機已經全面普及,題
Thumbnail
報酬風險比是衡量投資報酬與風險之間的指標,大於1表示投資具有正期望值,小於1則表示負期望值。本文介紹了提升報酬風險比的方法,包括分散投資、運用交易提醒、以及選擇低標準差的投資標的。
Thumbnail
報酬風險比是衡量投資報酬與風險之間的指標,大於1表示投資具有正期望值,小於1則表示負期望值。本文介紹了提升報酬風險比的方法,包括分散投資、運用交易提醒、以及選擇低標準差的投資標的。
Thumbnail
重要的對話像是理念或政見的討論,通會都有以下三個共同點: 1. 一定會有歧異,參與對話的人不可能意見完全相同。 2. 對話過程感覺會很艱難、棘手。 3. 除了對話之外,還有後續其他的事要被完成,要導出實際的行動或改變 試著回想一下和別人進行重要的對話的經驗,結果如你預期嗎?相信不會每一次都順利。
Thumbnail
重要的對話像是理念或政見的討論,通會都有以下三個共同點: 1. 一定會有歧異,參與對話的人不可能意見完全相同。 2. 對話過程感覺會很艱難、棘手。 3. 除了對話之外,還有後續其他的事要被完成,要導出實際的行動或改變 試著回想一下和別人進行重要的對話的經驗,結果如你預期嗎?相信不會每一次都順利。
Thumbnail
2024.07.22 台中市政府 台中市長盧秀燕積極推動「酷運動、酷城市」,以鼓勵全民運動及提升市民健康生活品質為目標。市府在太平區「坪林森林公園」內興建首座「太平國民暨兒童運動中心」,打造擁有全台中市「最大體適能空間」的地上四層建築,今(22)日由建設局長陳大田代表盧市長主持上梁典禮,運動局長李
Thumbnail
2024.07.22 台中市政府 台中市長盧秀燕積極推動「酷運動、酷城市」,以鼓勵全民運動及提升市民健康生活品質為目標。市府在太平區「坪林森林公園」內興建首座「太平國民暨兒童運動中心」,打造擁有全台中市「最大體適能空間」的地上四層建築,今(22)日由建設局長陳大田代表盧市長主持上梁典禮,運動局長李
Thumbnail
2024.11.20 台中市政府 台中市大甲火車站是海線重要交通節點,鄰近香火鼎盛的鎮瀾宮,除了來自國內外的信徒,還有很多觀光客,為紓解停車需求,市府交通局發揮停車場放大效益,11月初已完成甲后停車場新增44格汽車停車位,加上原來的74格車位,共計118格停車位,滿足市民與遊客停車需求,並同時設總
Thumbnail
2024.11.20 台中市政府 台中市大甲火車站是海線重要交通節點,鄰近香火鼎盛的鎮瀾宮,除了來自國內外的信徒,還有很多觀光客,為紓解停車需求,市府交通局發揮停車場放大效益,11月初已完成甲后停車場新增44格汽車停車位,加上原來的74格車位,共計118格停車位,滿足市民與遊客停車需求,並同時設總
Thumbnail
如果把前面把Z檢定和標準誤、標準差給搞懂,那麼t檢定的理解其實就滿簡單的了。 實務上來說,用Z檢定的機會其實比t檢定少。 這篇的目標就是介紹單樣本t檢定的原理,稍微有點長,比較需要耐心。
Thumbnail
如果把前面把Z檢定和標準誤、標準差給搞懂,那麼t檢定的理解其實就滿簡單的了。 實務上來說,用Z檢定的機會其實比t檢定少。 這篇的目標就是介紹單樣本t檢定的原理,稍微有點長,比較需要耐心。
追蹤感興趣的內容從 Google News 追蹤更多 vocus 的最新精選內容追蹤 Google News