3/19我在ETtoday的「雲論」發表我對於CBDC(Central Bank Digital Currency)的第二篇評論「全台行動支付百家爭鳴!央行數位貨幣是否一統支付江湖?」,這是我在第二篇在「雲論」探討CBDC的未來。第一篇是去年的5月22日,我寫了「CBDC若一統江湖,誰與爭峰?」,一年來,其實我早料準CBDC不會出現所謂的對手,事實上,的確如此。
我在這裡用一些經濟理論說得更明白一些。我的根本理由有二,目前市面上包含虛擬貨幣等等的支付系統,基本上沒有提高交易效率,也沒有降低交易成本。長時間來看,要這些支付系統做啥用呢?
當然,一方面真的有人當作投資,如比特幣,一方面真的有一些支付系統的確是用來進行支付交易的,但同時要滿足交易效率,又滿足低交易成本的支付系統,坦白說是沒有。
所以,即使這些支付系統真的可以用來支付,其交易效率的確是高於現金支付,但交易成本呢?
經濟學告訴我們,貨幣具有下列四種功能:交易媒介、價值單位或價值標準、遞延支付的標準、儲藏價值的工具,也就是說要同時滿足這四項功能的才算是貨幣,所以比特幣一定會先去除。因為比特幣的風險特性造成了對美元的匯率不穩定,也就是說對所有的貨幣的匯率皆是不穩定的,當交易的當下,買賣雙方所約定的比特幣幣值究竟是多少?難以論定!
或許有人會說,交易時又不是以比特幣標價,而是以比特幣付款,關比特幣的幣值何干?其實問題沒變,屆時,兌換的比率如果出現懸殊差異呢?這時候要以那個時間的幣值為交易基準呢?
先看一下BIS對於電子貨幣的定義。
電子貨幣是在1945年信用卡開始成為一種支付工具後所產生的名詞。國際清算銀行(Bank for International Settlements, BIS)對電子貨幣的定義是以電子形式儲存於消費者持有的電子設備中,並以現行貨幣單位計算之貨幣價值,當成儲值或預付的工具,並具有下列五項特徵(BIS, 1996):
- 科技的進步成就(technical implementation):以卡片為基礎的系統(card-base),典型是以微處理器嵌入的塑膠卡片,另一種是以軟體(software)為基礎的系統,使用軟體安裝在消費者的個人電腦上。
- 制度的約定(institutional arrangements):電子貨幣服務的提供者有下列四者:電子貨幣的發行者、網路經營者、軟體和硬體的提供者、電子貨幣的清算者。從政策面來講,最重要的服務提供者是電子貨幣的發行者,對發行者來說發行電子貨幣是資產負債表的上的負債,網路提供者和設備提供者只是提供技術的服務,清算者一般來說是銀行來擔任。
- 可轉讓(transferred):電子貨幣可以透過不同的方式轉讓,個人與個人間亦可以不透過發行者(issuer)或公正第三者(third party)進行價值轉讓或移轉。
- 記錄(recorded):具有限度的可移性(transferability),而且交易過程必須被紀錄在資料庫。
- 定名(denominated):對大部分的的電子貨幣系統不是正在開發就是還在測試當中,因此要能夠在國際間流通並視為通貨(currency)。
這樣大家就可以知道,依電子貨幣嚴謹的定義,雖然說沒規定一定是法定貨幣,那麼,又有哪種比法定貨幣還要強的貨幣?當然有,除非一國的央行願意放棄法定貨幣,改用別國的法定貨幣,如辛巴威。
除了BIS的定義,我認為還需要滿足以下幾個條件,依據Medvinsky和Neuman( 1993)的研究,發展電子貨幣亦必須滿足下列必要條件
- 安全性(security):電子貨幣只是一種資料形式,因此很容易複製。針對電子貨幣的複製或雙重花費(double spending)應該要設法防止。
- 匿名性(anonymity):個人身份應該被保護,而且無法被監督個人的消費行為及習慣。
- 擴充性(scalability):電子付款系統的擴充性必須能夠普及所有使用者,當使用者增加時必須能夠擴充系統架構,否則將導致系統運作緩慢或無法順利進行交易。
- 可受性(Acceptability):使用者都分屬不同的銀行系統,也就是說銀行之間也必須要能夠彼此清算與交易。
- 離線交易(off-line operation):不同的交易個體可以即刻且安全地交易。
- 可移性(transferability):電子貨幣的花費不必一直連接資料庫而透過公正第三者進行即可。
- 硬體獨立性(hardware independence):必須防止來自於離線的雙重花費。
尤其是離線的匿名交易更是重要,所以我才說各國央行所要發展的數位貨幣,只要一提出,一發行,基本上現有的支付機制根本都不是央行的對手。
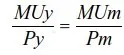
是不是所有的支付機制都會消失在江湖?我覺得還不至於,因為部分的支付機制或者是系統有其誘因與便利之處,讓消費者願意儲值一筆錢,放棄現金的機會成本,我們從以下這個公式就明白了:
考慮下列情況:消費者將其所得之一部分購買儲值卡(設為Y物品),其餘的所得用來購買其他物品(包括儲蓄),以數學式表示之:

上式中,I表消費者的所得,Py為儲值卡的單位價格恆等於1,M為購買儲值卡之後的剩餘貨幣,Pm為貨幣的單位價格,恆等於1。根據消費者的選擇理論,消費者為得到最大的消費效用必須選擇儲值卡與剩餘貨幣之間的組合,滿足下列等式:

如果Y與M的價格一樣,那兩者的邊際效用必須相等。如果不一樣呢?我們都知道儲值卡的總交易成本(包含機會成本)高於現金,那麼邊際效用也必須增高,也就是這些非法定數位貨幣以外的支付系統,所提供給消費者的效用必須提高才能補償。這樣一來,那些支付系統才能夠存活在江湖上。
接下來,剩下沒有邊際效用補償的支付系統,只能退出江湖。但消費者的邊際效用是遞減的,一個支付系統如何讓消費者的邊際效用不會遞減太快,讓使用忠誠度下降,就考驗這些支付系統了!




















