108課綱第一冊內容(確切內容以各出版社為主)
- 第一章:數與式
- 第二章:直線與圓
- 第三章:多項式
看到這裡,還沒有特別研究過108課綱高中數學的朋友,是不是感到非常疑惑,依照過去的課綱,第一冊的內容應該是(一)數與式、(二)多項式函數、(三)指數、對數函數,但是依照上面的內容看起來,似乎與之前內容有很大的不同?
其實,過去的內容在108課綱有很多的調整,第一冊的大單元簡單來說有兩點:
- 指對數的部分拆分到高一上、高二上,高一上的部分放入「數與式」
- 「直線與圓」從高二上搬至高一上
除了單元的調整外,各單元的內容也有不少的更動,之後也會一一來跟大家分享,這篇文章將先以《第一章 數與式》的部分,來跟大家做探討:
第一章:數與式(內容依據晟景對話式講義)
- 1-1 乘法公式與有理數、根式運算與實數
- 1-2 絕對值
- 1-3 指數與常用對數
在《第一章 數與式》的單元中,108課綱主要的調整有兩點:
- 將複數系搬移至選修數學
- 將指數與對數拆分到高一上、高二上
(一) 將複數系搬移至選修數學
這部分我覺得情有可原,在以往的教學經驗中,複數系的觀念,雖然對於「數學」很重要,但是在「高中數學」之中,真的沒有很常用到。(99或是103課綱中高一上遇到後,再度使用到應該是在選修數學甲上《複數的極式》)。再者,虛數的概念真的比較抽象,對於數感不強的孩子可能很難理解,往往學生也只是知道要如何計算,實際的意義往往也不是非常清楚,因此,我覺得108課綱搬離至選修數學是合理的。
❤️OurClass內心話:對於我教學來說,影響真的不太大啦XD,而且還節省了解釋虛數往往較花時間,學生仍舊對其概念模模糊糊的尷尬狀況。
(二) 將指數與對數拆分到高一上、高二上
在108課綱指數與對數的部分,在高一主要的目標主要是讓學生「認識什麼是指對數?」,比較複雜的「對數的運算(對數律)」、「指數與對數的函數圖形」以及「底數不為10的對數」,都搬到高二的數學A、B去了。
至於數學A與數學B在高二上的指對數單元有何不同?數學B相較於數學A不涉及太複雜的計算(例如:方程式、不等式),重點放在建立一些社會組相關科系(例如:社會學、商學、管理學)會用到的模型,因此還會多介紹連續複利,以及自然常數e、自然對數ln的觀念。
以下我將就指數與對數之更動內容,做兩點的討論:
高一沒有教「對數律」的結果1
由於不能直接使用高二才會提到的「對數律」,log4的計算便不能直接寫log4=log(2^2)=2*log2,要先用log2=0.3010得知10^0.3010=2,再將10^0.3010平方得到10^0.6020=4,最後才可知答案為0.6020。(手寫版如下圖)

高一沒有教「對數律」的結果2
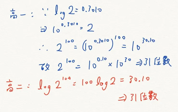
有一種比較麻煩的題目是2^100求幾位數,如上所述,也不能先取log之後,次方直接下來囉(真的很想哭啊QAQ)。一樣要將2先變成10的0.3010次方去做運算,最後用科學記號的形式來了解。(手寫版如下圖)

❤️OurClass內心話:這部分在教學上實在覺得有點麻煩,甚至一直不能用「對數律」感到很痛苦,不過幸好底數被限制在以10為底數啦!順帶一提,其實我在教學時,還是會教對數率,108課綱所教的這個方法,則可以拿來當作很好用的解釋工具,讓學生理解對數律的公式如何推導,又為什麼可以使用。但是真的要拿來實戰,就好像拿了槍卻沒有子彈一樣,還是覺得差強人意。
希望這些統整有幫助到一些人,如果你是剛開始要接家教,卻對於108課綱一頭霧水的家教老師,也希望可以讓你在教學上更加順手。
參考資料:晟景對話式講義
以上看法純屬作者查找資料後的個人看法及意見,有任何問題歡迎留言討論
如果喜歡這篇文章,歡迎追蹤、贊助、留言、分享,這都是我繼續分享的動力!下面也有個簡單的小任務,只需要簡單的拍手,將對我是很大的回饋喔❤️
















