本系列文章試題、解答及參考詳解,皆來自於大考中心網站108課綱學測參考試卷

重點觀念:特殊點的假設
這次的這題比較簡單,看到P點到A、B兩點的距離,在我們學過的觀念裡,應該就是利用兩點 x, y, z 座標差的平方開根號來計算,算是滿直覺的一道題目。
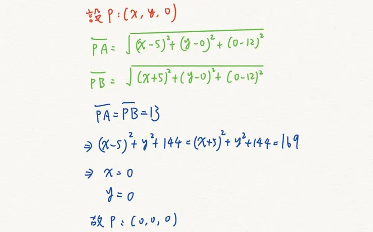
重點在於,這裡的P點是我們的未知點,那要如何假設?題目中有提到P點在xy平面上,因此我們可以假設P點為( x, y, 0 ),再去做計算。這裡幫大家整理當題目有提到一些特殊點(即有特殊位置的點),要如何做假設:
- 非特殊點:( x, y, z )
- xy平面上:( x, y, 0 )
- yz平面上:( 0, y, z )
- xz平面上:( x, 0, z )
- x軸上:( x, 0, 0 )
- y軸上:( 0, y, 0 )
- z軸上:( 0, 0, z )
因此此題解題過程如下:

參考資料:111學年度起適用之學科能力測驗各考科參考試卷公告
以上看法純屬作者查找資料後的個人看法及意見,有任何問題歡迎留言討論
如果喜歡這篇文章,歡迎追蹤、贊助、留言、分享,這都是我繼續分享的動力!下面也有個簡單的小任務,只需要簡單的拍手,將對我是很大的回饋喔❤️




















