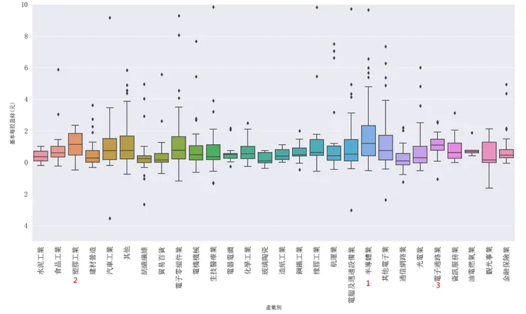
2021第一季,上市公司中,表現最好的幾個產業,依照EPS的中位數做排名,前三名分別為,半導體業、塑膠工業、電子通路業。

我把各產業別中各家上市公司的EPS分布整理成箱型圖(點擊圖片可看全圖)

- 盒子的範圍為第25-75百分位數: 代表有一半的公司EPS落在這個盒子的範圍
- 盒子中間的那一條線是中位數
- 盒子上下長長的兩槓是最大值與最小值,在這兩槓以外的點點為離群值
半導體產業在第一季表現優異
我們可以看到第一名的半導體產業在第一季有75%的公司都賺錢,而且有一半的半導體公司表現的比其他產業全體公司都還要好。
塑膠工業前段班的公司表現優異,電子通路業普遍都賺錢
這兩個產業的盒子上半部,明顯高於其他產業,尤其電子通路業,可以看到有一半的公司EPS分布的範圍並不大,代表這一半的公司明顯都賺錢而也差異不大。
國內股市ETF掌握的產業範圍
我針對目前比較主流的幾檔ETF,做了持股權重的的分析。
分別為元大50(0050)、元大高股息(0056)、元大中型(0051)、國泰ESG(00878)、元大ESG(00850),其中標註為黃色的則為各ETF前五大持股的產業。

元大50(0050)與元大ESG(00850)掌握到本季最賺錢的半導體業
元大0050及元大ESG最大的持股比例就是今年第一季第一名的半導體業,其中分別為以下的持股。

☕️訂閱專欄,用一杯星巴克的錢,掌握最新數據,投資自己的理財腦
本篇解鎖內容🔑
- 元大50、元大ESG、元大中型100、國泰ESG等產業主要分布與持股公司EPS表現
- 上述ETF的追蹤指數特色與說明
- 元大中型100各產業中持有公司處於前段班的比例
- 從追蹤市場獲利能力、成長的參數中,哪個ETF是主編所推薦的



















