
(本文只有6000字,但花的時間破我金融類文章紀錄。妳可以選擇不看,或聽幾首歌來閱讀。)
在探索資產配置理論的道路上,Black Litterman(BL)是一道關卡。但如果各位拿下這座城,可以一舉將知識往前推進40年。關於BL模型,網路上有很多介紹文章,不過考量到實用性和接受度,我選擇引用Bodie的Investment以及Thomas M. Idzorek, CFA的A Step-by-Step Guide to the Black-Litterman Model 當作介紹主軸,受眾數學門檻比較低。我盡量用淺顯的語言解釋,所以如果各位覺得我的文章太簡單,也歡迎自行找原始文獻。
另外,我發現網路上有些作者只是單純「翻譯」文章,雖然也有幫助,但真實意義可能不大,畢竟和知識門檻相比,語言反而不是障礙。我嘗試使用三個面向來描述BL模型,先寫出公式和步驟,接著使用真實數據來輔助示範,最後附上部分推導。其實這就是我之前書中的「觀念-實戰-研究」推進風格,讀者不用整篇看完也可以有個印象。不過,萬一你不幸成為「狂派」,跟我一樣喜歡追根究底,歡迎從頭讀完、提出質疑並告訴我哪邊寫錯。
1. 我們先來回顧歷史吧。
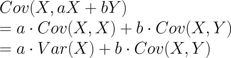
Markowitz使用「方差-均值最優法」(MV/MVO),奠定了人們求最佳解的方向,也畫出了效率前緣,不過這套方法面臨著眾多挑戰。首先,使用常態分布來描述波動,或使用波動來描述風險,並不完全符合股票的真實表現。再者,無限制條件下,模型可能建議大幅賣空某些資產,而當我們加入做空限制時,權重可能直接變成0。不過,最讓人困擾的問題,或許是「敏感性」。
MVO是好用,但是對於參數太敏感。往往只是小幅調整「預期報酬」,求出的權重就會出現重大變化,例如做多變做空。這不但增加了資金進出量,也違反投資者的直覺。問題出在這裡,人們想要預期資產未來的報酬非常困難,甚至有點可笑。要是我們都可以知道未來的報酬了,還需要配置資產嗎?
有學者估算了各種參數的影響程度,證實預期報酬最為敏感。(The Effect of Errors in Means, Variances, and Covariances on Optimal Portfolio Choice. Vijay Kumar. Chopra and William T. Ziemba. 1993) 他們估計,預期報酬誤差的影響力,大約是方差和協方差的「十倍」。

到了1992年,高盛資管的Fischer Black和Robert Litterman,在Bayes框架下嘗試解決這個問題。先透過權重求出預期收益率,當作先驗,再利用先驗收益得出後驗收益,最後用後驗收益回推理想權重。既然有了這個框架,人類手中便多了一套實用工具。相對於MVO,BL提供投資者導入「看法」(view)的管道,而且也把預期收益分散到不同步驟,增加修改的彈性。也就是說,比起Markowitz假設的「理性投資」世界,BL認為每個投資者都有主觀看法,這也比較符合實際狀況。順帶一提,這邊的Black,也提過Black-Scholes模型,對於選擇權定價理論有深遠的影響。
2. 我們要如何找出先驗的預期收益分布呢?
剛剛說過了,由於MVO對預期收益很敏感,可是人類依然需要一個猜想的基準,那怎麼辦? 1974年,Sharpe在Imputing Expected Security Returns from Portfolio Composition 中提出了「逆向最佳化」這種方法,把Markowitz的步驟倒過來執行。MVO透過預期報酬、共變異數(協方差)、波動(標準差)等參數,算出理想「權重」;不過逆向最佳化(優化),則是使用權重、協方差和波動,倒推「預期報酬」。
各位可以回想CAPM和Markowitz,我們會使用其中的既有概念。如果市場是「有效」的,那麼最佳權重應該就是「市場組合」本身。既然有權重,又有協方差矩陣,我們就能夠推出組合的標準差。而在「風險厭惡」世界中,假定人類都討厭風險。這時,讓我們敢於承擔風險的因素,就是「風險補償」的報酬。換句話說,投資者的風險厭惡係數(λ)為5,那他的一分風險就要對應到五分預期報酬才合理。此時,結合CAPM對於風險(波動)和報酬的理念,我們可以利用β和風險厭惡係數,算出「隱含均衡超額收益」,並寫成矩陣形式。

Π: 隱含均衡超額收益,n×1(向量)
λ: 風險厭惡係數
Σ: 協方差矩陣,n×n
w_market: 市場組合的權重,n×1(向量)

3. 具體而言,我需要估算各資產的標準差、相關係數和共變異數矩陣。

假設我現在市場的組合,已經有了理想「權重」,我們就可以依據這些數據求出組合的標準差,而這部分之前在MVO有做過。

接著,我們放入風險厭惡係數,並根據CAPM算出「組合」的超額預期收益。

再來,我們可以利用β的概念,回推「各項資產」的超額預期收益。


接下來,還須注意「精確度」。雖然我們已經利用一個協方差矩陣,求出超額預期收益,但這些估算本身也會有「誤差」。因此,我們可以再用另一個協方差矩陣,描述這些資產的預期超額收益。假設標準差的誤差範圍是10%,那麼變異數就是1%。
4. 是時候放進投資者的主觀看法了,讓我們看看Black Litterman的公式長什麼樣子。

E[R]: 後驗的期望報酬,n×1(向量)
τ: 比例係數,代表尺度
Σ: 超額報酬的協方差矩陣,n×n(矩陣)
P: 代表各資產的K種看法,K×n(矩陣)
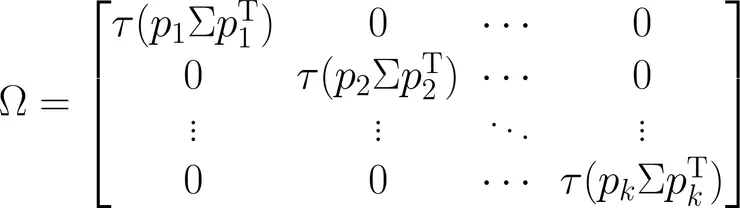
Ω:觀點誤差(不確定性)的協方差矩陣,因為觀點彼此獨立,所以是對角矩陣,K×K(矩陣)
Π: 隱含均衡超額收益,n×1(向量)
Q: 觀點向量,K×1(向量)
BL模型的重點就是觀點(view),不過為了能和貝氏框架結合,這裡使用多個相關符號。
首先,對於資產預期收益的看法Q,可以是「房地產有5%報酬」的絕對觀點,或是「股票比債券多3%」的相對觀點,也可以「我沒看法」的沒有觀點,而且總數量K不拘。對於每個觀點Q,都要加上一個「我不確定」誤差ε,成為向量形式的Q+ε.

Q: 投資者對資產的觀點
ε: 看法誤差,平均是零的常態分布
接著,雖然ε不會直接進入BL框架,但是透過它的方差相關函數ω,可以組合出對角矩陣Ω。當ε越大,ω就越大,也代表越不確定。

另外,為了配合Q,我們需要另外寫出一組P矩陣,以及P的轉置矩陣,但說穿了就是簡單的「線性組合」。如果有K個觀點,又有N種組合,則P會是個K×n矩陣。至於為什麼要寫成P形式呢? 因為對於矩陣的每個「點運算」來說,都能夠適當表示相對和絕對觀點。例如,A相對B多了0.5,其實就是1×A+(-1)×B=0.5。

下一步,我們要估計觀點的方差。

最後,要建立Ω,我們把觀點結合τ。值得注意的是,由於τ用來描述不確定性,各家學者的取值意見不一,從0.05到1都有。為了方便起見,我採取Idzorek的思路,假設ω÷τ就等於觀點方差,這樣τ本身不會被直接寫進矩陣,以免除後續計算,也不影響E[R].

至此,初始輸入已完成,而後驗分布就是剛剛的公式。

由於我們假設的先驗和觀點都是常態分布,因此相乘的結果依然是常態分布,這也稱為共軛。
5. 要求得權重,我們只差一步之遙。
本質上,最終期望收益就是隱含均衡超額報酬和投資者觀點的加權平均。而透過後驗分布的期望值和變異數,就可以得到最佳的配置權重。
關於求出權重的部分,就是標準MVO,也就是Lagrange乘法和反矩陣那套了。
6. BL模型可以容納多類資產,不過為了方便「重新示範」,我引用Investment一書,且依然只用股債兩種資產,各位也不妨自行推廣。
第一步,利用Excel做出協方差矩陣,其中標準差和相關係數,是公開的歷史資料。

第二步,輸入權重,可以求得組合標準差。接著再結合投資者的風險厭惡係數,推出組合的超額預期收益。

第三步,回推各項資產的β,以及分別的超額預期收益。

第四步,參考上述資料,做出代表預估精確度的誤差協方差矩陣。

第五步,放置個人觀點,以P和Q結合,並估計誤差。

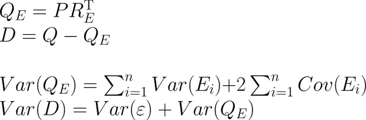
第六步,利用P求出超額預期收益Q_E,並計算Q與Q_E的差異D,以及D的變異數。


第七步,利用Bayes求出各資產的新預期收益,而後面就是傳統MVO的手段了。


雖然BL原本是商業模型,可是因為廣為流傳,讓民眾也可以輕易借助網站或軟體試算。除了上述的步驟外,讀者也可以利用Portfolio Visualizer,流程大同小異。至於熟悉程式的朋友,直接用內建Toolbox就可以快速完成,想親自手寫也可以。
7. 後面我打算分享一些「真正有趣」的內容,不過先來點輕鬆的話題吧。
回顧人類在投資領域的知識累積,Bayes和資產配置結合,產生了Black Litterman模型。然而嚴格來看,BL模型專注於求出個別資產預期「收益」,因此離資產配置領域較遠。本質上,BL利用Bayes框架求出比較符合直覺的預期報酬,然後利用MVO推出權重。因此,我更喜歡說BL是一套流程或方法,而不是一個體系。
另外,我認為在BL裡,主動投資和被動投資者難得的相遇。主動投資者的view可以透過BL影響配置比例,同時兼顧既有事實;而對於被動投資者而言,也不至於討厭和MVO有淵源的BL模型。
說到資產配置,我知道有些人嗤之以鼻,甚至認為這是有錢人的專屬玩具。可是,不管你怎麼想,資產都會以某個比例分配。更重要的,配置比例對於資產隨時間的波動率而言,影響力遠大於擇時和選股。事實上,根據我的認知,看價格進出(擇時)和挑選公司(選股),平均而言甚至會造成虧損。我們絕大部分都是「業餘玩家」,既沒有專業知識,也沒有完整時段,所以可以站在前人的肩膀上選定資產配置策略,而不是汲汲營營的想要幹掉專業對手。
我曾在書中挑戰描述資產配置,現在我也嘗試簡述相關延伸方法。因此,如果各位觀眾有興趣,不妨繼續往下看。
8. 越來,越好玩,暈船坐小船。
觀念有了,實戰工具也會用了,現在我們應該來探究公式的起源。主觀而言,我認為使用Bayes框架的推導比較容理解,此處參考Bayesian Optimal Portfolio Selection: the Black-Litterman Approach的推論過程。
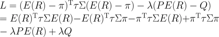
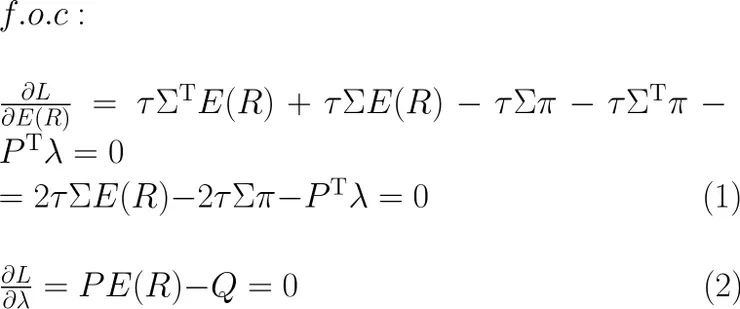
首先,看看「確定」的先驗預期報酬,我們希望協方差越小越好。

接著用Lagrange來處理,注意這裡的Σ是共變矩陣,因此轉置後不變。


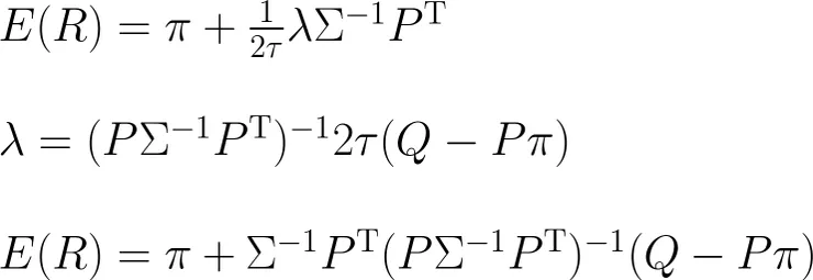
先從(1)求出E(R),代入(2)求出λ,再把λ代回(1),求出E(R)的表達式。

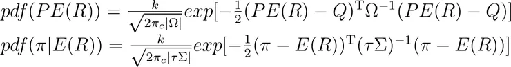
另一方面,由於投資者的view包含誤差,因此我們需要使用「分布函數」來描述信心。我畫了常態分布的PDF和CDF,觀眾可以看看兩者的關係。

為了方便計算,我們假設P(E(R))和π|E(R)就是常態分布。其中Prob為機率,N代表常態分布函數。

接著,我可以觀察PE(R)的「形狀」,尤其是pdf的冪次部分。其中π_c是常數,本來就在pdf公式中,不要和預期收益π搞混。k用於方便計算。

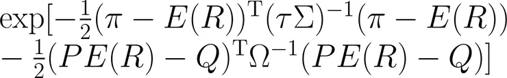
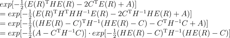
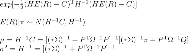
然後把這些結果代回Bayse的公式,得到後驗結果(E(r)|π),並將冪次部分等比縮放整理,以去掉一些係數。

我們把公式簡化,以符號替代。注意,這個步驟很像「二次配方法」,其中H和A把頭尾抓出,而C則是剩下的部分。


為什麼要這樣拆? 因為前半段是常數,而後半段可以寫回常態分布的形式。

最後,我們得到了預期收益。
關於數學推導,還有很多值得注意的細節,不過礙於篇幅,我在此簡單帶過。
例如,關於確定和不確定下的Ω=0,真的相等嗎? 各位觀眾可以尋找相關證明。另一方面,除了Bayse框架之外,也有人用「取樣」的理論來推導出預期收益和權重,像是Mathematical Derivations and Practical Implications for the use of the Black-Litterman Model。而關於「共軛」先驗,也有相關內容,值得各位一看。

9. 剛剛都在說數字,現在我定性的來談談BL模型後續發展。
和Markowitz的MVO相比,BL已經很優秀了。不但提供投資者放置觀點的渠道,也讓資產權重變化不會這麼劇烈。不過實務上,有些投資者會使用「再抽樣」的方法,讓曲線平滑化。具體而言,我們可以利用Monte Carlo模擬來擴大資料數量,計算更多潛在的資產預期報酬。有什麼差別? 大家看看資產權重比例的圖表對比就知道了。(圖片來自CFA Program Curriculum 2020 Level III)


另一方面,我們在建構輸入條件時,需要經過複雜的手續,而針對此點,Meucci發表了Beyond Black-Litterman,提供另一種更直觀的演算方式。

針對風險,有學者引入ARCH/GARCH模型,也有的使用VaR/CVaR來改善模型的文章,例如Extending Black-Litterman Analysis Beyond the Mean-Variance Framework.
既然BL和MVO有關,我們可以輕易的想到「標準差」本身。如果資產價格波動根本不是「常態分布」,所謂均值-方差優化基本教義就失效了。不過放心,你想得到,學界和業界也有人試著突破。像是Giacommeti等人的Stable distributions in the Black-Litterman approach to asset allocation,試著用穩定分布來描述波動風險,就比較合我胃口。另一個方向,也有人研究三階和四階動差(矩),而論文名稱也很直白,例如Mean–Variance-Skewness-Kurtosis Portfolio Optimization with Return and Liquidity.
10. 狂徒,說這麼多,那你到底怎麼看Black Litterman?
我們不妨先回到資產配置的偉大航道上,看看人類的理論發展。
只要資產配置涉及到調整,就需要考量「時間」,尤其對於主動投資者來說,變動資產比例的頻率和動機,需要更完善的理論來支撐。舉個例子,CAPM是單期模型,而跨期的ICAPM就更加貼近真實投資需求。因此,「動態」資產配置的重要性也逐漸顯露,而且還吸收了一部份擇時派投資者。
另外,建議讀者也不要覺得接觸到BL模型就很厲害,這已經是30年前的古早模型。況且,目前很多程式語言都有內建的BL程式,因此就算完全不知道推論過程,投資者依然可以受益於模型的方便。真正賺錢的並非模型本身,而是適當的「觀點」,否則也是Garbage in, garbage out. 事實上,BL假設之一就是「有效市場」,而想要靠著獨到觀點擊敗市場,還需要投資者的本事夠大。
透過商業廣告,大家可能會聽到AI結合BL,而我認為這是值得探索的道路。AI提出觀點,BL運用觀點,這兩者都能有效排除人性的弱點,而且適用性很廣。無論是佛系被動投資者,還是擅長程式的量化投資者,都可以使用此組合來最大化自己的預期收益。
11. 我認為BL模型帶給人們很大的改變,但我還是對它有挑剔的地方。
原因很簡單,無論後人怎麼改變波動風險模型、推導方式和參數假設,BL都會繼承MVO的特性,其中就包括對於收益預期的解釋。也就是說,只要你繼續用β來推測預期報酬,只要你用波動來解釋風險,BL就無法避免一個問題。
「萬一市場不理性呢?」
每個投資者都應該有自己的知識體系,而讓我質疑傳統BL的最根本原因,就是對於獲利原因的看法。
如果市場非完全有效,那麼理性投資者或許可以利用人性缺陷來獲利,而這也是「行為金融」的範疇。另一方面,順著APT的脈絡,我們可以使用「多因子」來解釋收益,而非侷限於波動風險。換句話說,我們都看過身旁狂熱的市場參與者,也或許透過統計得知MVO/CAPM/BL的基本假設並不完美,所以除了修正既有模型外,往前再拓展新的理論,顯得更為理性,也更有潛在發展空間。
我很尊重研發各種理論的學者和業者,我批評BL並不是討厭它,而是看到它的改進空間。事實上,就是因為有一推人對於傳統BL不滿意,所以利用前人的知識沉澱,把模型東改西改,讓它不斷進化。在我看來,BL和多因子並不是二選一的是非題,而是目標不同的兩個研究方向。目前雖然還沒有個知名的統一理論,但是身為投資者的我們,還是可以學習這些框架,自行組合運用。
想要改善view的問題,除了利用AI之外,我們也可以使用「因子」。在之後的章節,我會提到因子分析在資產配置的應用,也就是「因子投資」的重要一環。不過先別急,在講因子投資之前,我打算先提一個分配風險的方法,也就是風險平價(risk parity)。換個口味,繼續前進。
參考資料:
- Bodie Investment
- Thomas M. Idzorek, CFA A Step-by-Step Guide to the Black-Litterman Model
- Vijay Kumar. Chopra and William T. Ziemba, The Effect of Errors in Means, Variances, and Covariances on Optimal Portfolio Choice
- Imputing Expected Security Returns from Portfolio Composition
- Portfolio Visualizer
- Bayesian Optimal Portfolio Selection: the Black-Litterman Approach(PDF)
- Mathematical Derivations and Practical Implications for the use of the Black-Litterman Model
- CFA Program Curriculum 2020 Level III
ISBN: 978-1-946-44296-3 - Extending Black-Litterman Analysis Beyond the Mean-Variance Framework
- Giacommeti等人的Stable distributions in the Black-Litterman approach to asset allocation
- Mean–Variance-Skewness-Kurtosis Portfolio Optimization with Return and Liquidity(PDF)
- A demystification of the Black–Litterman model: Managing quantitative and traditional portfolio construction
- Meucci, Beyond Black-Litterman: Views on Non-Normal Markets
- Jay Walters, CFA, The Black-Litterman Model In Detail
註: 我不是金融界的,也不是打廣告,不過我知道國內有些機構將Black Litterman和人工智能包裝在一起,各位有興趣可以看看。
另外,如果我哪裡說錯了,請大方告知。 雖然我檢查很多次了,可是我不大相信寫這堆字都不會出錯XD 哪裡看不懂的,也歡迎問我。 我應該能回答文中大部分的問題(畢竟我沒找代筆),但我也不介意被問倒,反正我寫文章本身就是「精進」的過程。






















