明天要做什麼?
依照當時狀態,還有先前的經驗跟心理預期,有助於我們規劃未來生活。今天去全聯買了一袋零食跟水果,根據保存期限跟自己的喜好,決定先吃哪個,哪些可以先留著,諸如此類的行動反應出規劃未來,也可以彈性改變日常的能力。
自然環境中食物資源會出現的位置不一,動物必須隨時隨地做出改變,例如豐富度較高時會選擇品質較高的食物,由此表現出動物對食物具有選擇性(其實是挑食吧?)除此之外,也有研究顯示動物可透過更複雜的認知機制判斷當時情況,像是食物資源的可預測性,這被詮釋為風險評估,有一餐沒一餐的生活跟每天吃飽喝足的生活模式必定不同。
烏賊也能規劃未來嗎?
這次由學妹帶來這篇文章的介紹。我愛吃蝦子,不要吃螃蟹!
實驗所用的烏賊跟我們用的虎斑烏賊(Sepia pharaonis)不同,是歐美比較常見的歐洲常見烏賊(Sepia officinalis),根據研究牠們也是挑食的壞孩子,雖然可以吃的食物種類很多,但卻對不同食物表現出明顯的偏好,甚至會按照經驗改變,討厭塗了奎寧後的蝦子,或是不想抓不好抓的食物。這個研究利用了比較喜歡吃蝦子,而不喜歡吃螃蟹的特性,想知道牠們能否規劃未來。
烏賊:雖然不愛吃,也不能餓肚子
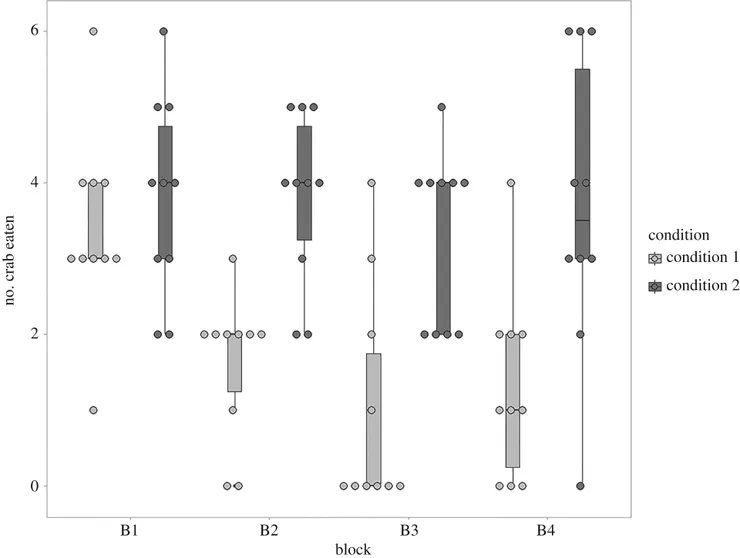
在第一組實驗,每天早上飼養缸會被放入一隻螃蟹,並安排了兩種情況,分別為每天晚上都會投放蝦子,或是隨機投餵蝦子,挑嘴的花枝若是知道今天能吃蝦,就不會吃螃蟹。兩種狀況進行16次後,會以另一種狀況再進行16次,實驗結果以四天為一單位,看看烏賊是否會依照餵食狀況,改變自己習慣的掠食策略。

結果顯示,狀況一的條件下(每天有蝦吃),烏賊攝取螃蟹的數量逐日下降,而狀況二(不一定有蝦吃)則相反,如果有一餐沒一餐的,烏賊就會吃螃蟹,畢竟不確定晚上能不能吃到蝦子。不管怎麼說,厭惡洋蔥炒蛋如我,若是沒有別的東西能吃,也是願意把這個可怕的料理吞下肚。
晚上有大餐可以吃,螃蟹這貨色就別吃了吧!
第二組實驗拉長了狀況一的時間,雖然也是固定時間餵蝦子,但中間會多隔一天,藉此瞭解心理預期是否會改變烏賊選擇,狀況一是當天有餵蝦,狀況二則是中間沒餵的那天,也是以四天為一單位,結果發現若是知道晚上會餵蝦,烏賊吃螃蟹的意願就會降低。實驗一直操作到連續實驗中十天有八天做出正確選擇為止,就是晚上會餵蝦,早上就不吃螃蟹,或是沒蝦就會吃螃蟹。
烏賊分在CREC 和 MBL兩處進行實驗,前者烏賊花了 23天(± 12),後者則花了 31(± 6)才學會這個規律,下圖分為(a)跟(b)也是因為這是兩個實驗室的數據,比較後兩處的趨勢差不多。

這樣能說烏賊有規劃未來,或是彈性調整的能力嗎?
實驗結果似乎能夠支持,但好像還不夠。
雖然上述實驗結果顯示了「晚上會不會有蝦子」,明顯影響到吃螃蟹的意願,但沒辦法確切指明這樣的攝食趨勢肇因於想留一點肚子吃蝦子,所以白天拒絕吃螃蟹,這是由於規劃未來的能力還受其他原因影響。
我就想吃蝦子,不要吃螃蟹。
目前的實驗設計沒辦法把烏賊當下的動機分離出來,牠可能只是當下想吃蝦子,所以不吃螃蟹。如果要有很強烈的證據確認烏賊具有彈性、規劃未來的認知能力,還需要設計新的實驗才有可能排除。
最後,關於論文的其餘疑問:
- 第一張圖其實有點問題,那就是為什麼以四天為單位,每天又只有一隻螃蟹,為何吃掉的螃蟹數量還會有六隻?
- 第二張圖看起來是只有拿前八天的數據做統計,但達到學習標準都需20天以上,我個人會希望能夠把完整的時間序列呈現出來,因為這裡用的烏賊比較大隻,所以每天餵的螃蟹有兩隻,所以總和有吃到6隻就能理解。
- 第二章的(b)圖y軸間距跑掉,不知道為什麼。
不知道是不是我誤會了什麼?
這篇文章之前 Lab Meeting 就有討論過,今天再度提出還是有很多疑問。
大家覺得要怎麼設計一個更有解釋力的實驗呢?





















