報酬與風險
投資要追求更高的報酬率。
這句話聽起來似乎理所當然,然而當風險與報酬相伴時,又怎麼看待這句話?
坊間流傳著:
股市中一賺兩平七賠。
貓貓在學習投資觀念時,見到凱利公式這個說法。於是試著套用凱利公式來觀察報酬與風險間的關係,並提出報酬率 r 與風險 x 間的不等式,說明什麼情況下 All-in的期望報酬率反而降低。
凱利公式(Kelly criterion)
基本介紹
在 A new interpretation of information rate 中,J. L. Kelly 宣稱:
If the input symbols to a communication channel represent the outcomes of a chance event on which bets are available at odds consistent with their probabilities (i.e., “fair” odds), a gambler can use the knowledge given him by the received symbols to cause his money to grow exponentially. The maximum exponential rate of growth of the gambler's capital is equal to the rate of transmission of information over the channel. This result is generalized to include the case of arbitrary odds. Thus we find a situation in which the transmission rate is significant even though no coding is contemplated. Previously this quantity was given significance only by a theorem of Shannon's which asserted that, with suitable encoding, binary digits could be transmitted over the channel at this rate with an arbitrarily small probability of error.
本篇暫且只考慮關於賭局的觀念:
藉由賭局中有限的資訊,例如賠率及機率,最大化資本增長率,使得本金以最佳的指數增長率成長。
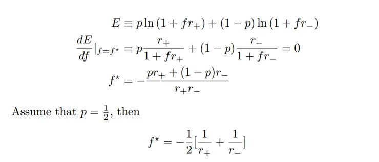
計算假設
假設在丟銅板遊戲中,猜對的機率為 p(猜錯為 1-p),而有著對應的不同報酬率(有賺有賠)。此時設定投入比率為 f,在適當的 f 時,可以有報酬率的極值。

當我們考慮公平遊戲時(沒有內線消息),可以藉由賺與賠的幅度來決定最佳的投入比率 f。
遊戲模型
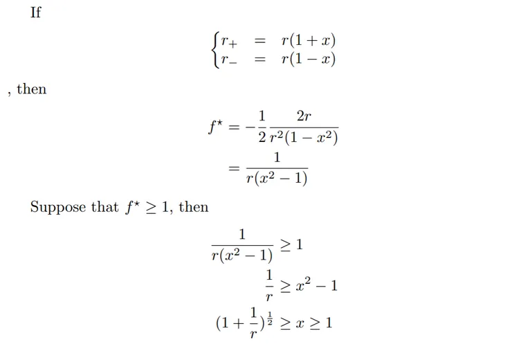
假設報酬率基準為 r、風險為 x,以下假設 r>0 且 x>1。此時考慮可以放心 All-in 的條件,提出報酬率基準 r 與風險 x 間的關係。
情境一

此時報酬基準 r 顯然決定了風險 x 的上限,當報酬增加對風險控制要求越高。反過來說,當風險控制好,x 成一個常數,報酬也有限制。
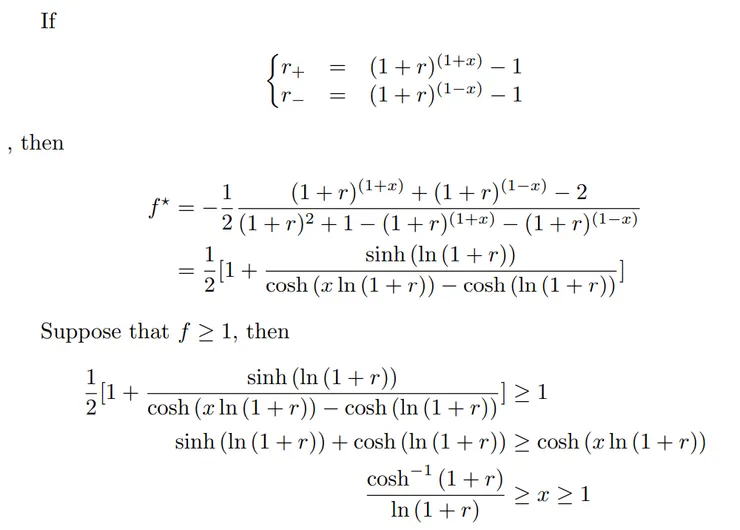
情境二

情境二與情境一類似,除了關係較複雜外,結論是一致的。
其他情境
當我們將上述情境推廣,考慮報酬率的連續分佈,可以採用常態分佈、穩態分佈或是任何可能的分佈。積分出報酬的對數期望值,並求其極值,即可得到相應的最適投入比率。
討論
凱利公式藉由調整投入比率,即可最佳化資產增長。然而對於報酬率,不同的情境假設著不同機率分佈,對於機率的假設主導著計算結果。
在上述討論中,完全與心理狀態無關,不去評論個人的風險承受能力,僅以最大化報酬為考量。
在投資標的固定的情況下,報酬率基準可以藉由保留現金(0<f<1)、All-in(f=1)或槓桿(1<f)來調節。對於投資者,控制風險本身可以是最大化報酬的理性選擇,無論積極或保守。
本篇討論藉由公平銅板假設,假設無法預測未來。而當有人能夠比市場共識更精準地預測未來,會有不同的機率預期,或許就有不同於此篇的結論。




















