龐氏騙局
(Ponzi scheme)
介紹
龐氏騙局,是一種極為知名的騙局,起源於查爾斯・龐氏 (Charles Ponzi) 利用國際回信郵票券 (International Reply Coupon) 來宣稱可以套利,並藉此吸引資金。騙局於1919開始至1920破局,發生背景是第一次世界大戰後不久,經濟混亂的時期。
定義
龐氏騙局的基本概念是:- 以超常的報酬吸引人們投資。
- 以新進成員的投入資金充當利潤分給先加入的成員,偽造報酬。
- 在吸引而來的資金及分潤出去的誘餌間,將差額作為現金流。
- 將現金流挪作他用,故稱騙局。
原理
假設一基金,每期能將資產穩定增長為 a 倍,並有 d 倍的新加入資金。此基金對外的說明可能如下:
你投入的每一分錢,都會以每期 r 的報酬率回報,穩定無風險。並且此時的 r 高於市場報酬 a-1,是一個超級理想的金融商品。
基於此假設,我們可以試算下列三者關係:
- 基金實際規模
- 累計投入資金
- 當期投入金額
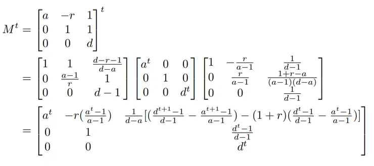
在穩定情況下,每一期的更新可以用矩陣 M 表示。為了進一步得到在時間 t 期後的結果,可以得到下列矩陣。

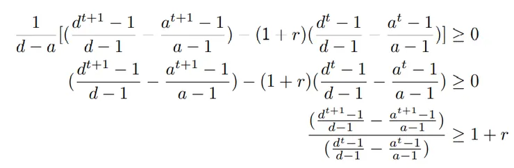
在沒有監管單位的情況下,此騙局破局條件是現金流歸零。由此假設此基金起始無任何實際資產,只靠吸引而來的資金運作,可得現金為正的不等式:

此時可以見到,宣稱的報酬率 r 有著上限。此上限由實質增長(或縮水) a 、吸引力 d 以及時間 t 所共同決定。當 a、d、r 固定時,只讓時間 t 增長,可能發生破局。
由此可分出兩種騙局:
- 當 t 趨於無窮大,仍滿足維持條件。
- 當 t 趨於無窮大,會違反維持條件。
假設 d>a>1,則:
- 1+r ≤ a (不構成騙局)
- a < 1+r ≤ d (第一類騙局,需外力揭穿)
- d < 1+r (第二類騙局,不須外力即會自行揭穿)
討論
此時討論的假設忽略了監管、擠兌、捲款潛逃等情形所導致的提前破局,發覺一切穩定的情況下,仍有第二類龐氏騙局會自取滅亡。此種會自毀的騙局,敗於宣稱過高的報酬 r 或相對低的吸引力 d。
至於穩定假設下,不會自毀的第一類龐氏騙局,可能的敗因在於假設不成立。例如:
- 監管機關出手
- 市場恐慌擠兌
- 騙局主持結束騙局
- 規模飽和
- 吸引力下降
至於一個正當的基金,合理報酬受制於投資收益 a,而非藉由吸引力 d。因此判斷基金是否為龐氏騙局的重要因素為了解合理投資收益,並期望合理報酬。
結論
市場流傳一句話:
別投資自己不懂的東西。
唯有了解自己在做什麼,才能知道自己能期待什麼報酬。
天底下沒有白吃的午餐,至少你得知道這午餐沒有過期。
看向第二類騙局,知道熱門 (d 很高)、實際報酬被高估 ( a 不高)、且目前好多人大撈一筆(1+r 超高)。或許可以試著倒數著泡沫破裂的時間。





















