前言
本貓貓前陣子在學 Capacity of parallel Gaussian Channels 時,Water-filling 似乎是個相當泛用的概念。
所謂 Water-filling,可以視作一種資源分配的方法,用以在總資源有限的情況下作適當分配。儘管本貓貓是從通訊方法學到,就如同先前文章中《為什麼報酬未必越高越好?凱利公式提示》的 Kelly criterion,但是仍可以轉換成最佳化報酬率的問題。資源分配


討論
餘裕與分配
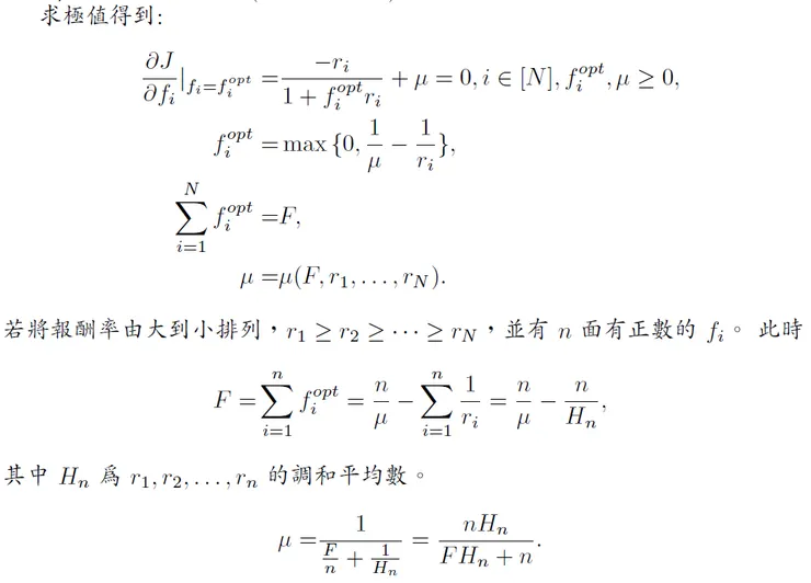
首先注意到,當 μ 很小 (μ<<r_i),此時所有 f_i>0,使得 n=N。
對於有限的調和平均報酬 H,此條件使得整體槓桿率 F>>1,為信用寬鬆環境。
此時有限的報酬率 r_i 相較於 μ,對於能獲得的資源 f_i 幾乎沒有影響。
所有 N 種可能性皆公平地收到押注。
反之,當 μ 夠大,此時罕有 f_i>0,使得 n<<N。
對於有限的調和平均報酬 H,此條件使得整體槓桿率 F<<1,為信用緊縮環境。 此時有限的報酬率 r_i 相較於 μ,對於能獲得的資源 f_i 至關重要。
只有 n 種可能性會收到押注,而 N-n 種其餘可能性則無法取得資源。
在 water-filling 的觀點中,受到押注、投資的比例 n/N,與整體槓桿率 F 密切相關。越是有餘裕的環境 (F 越大),越能夠分配資源給報酬相對低的選項;反之當環境越窘迫 (F 越小),則僅有的資源傾向集中到最優勢的選項。
資源類型
- 對於貨幣等可以有 F>1 的資源,能否取得適當槓桿來換算對應 μ,是資源分配的關鍵。
- 對於時間等 F=1 的資源,資源分配取決於各項選擇間的效益。
至於每日實際可用時間比例 F<1:
對於極不自由的人 (F<<1),μ=H_n,n 由報酬率及其調和平均而定。
在所有可能的選項中,僅投入最擅長的行動,而忽視相對不熟練的可能。
社會福利
對於一個社會或經濟體,依照其信用可以舉債而有對應 F>1,或是因樽節而使 F<1。通常對於成熟經濟體 F>1,而有餘力透入社會福利、公共財等並非以營利作為最優先目的的選項。而對於財政緊張的經濟體 F<1,則資源往往集中至大企業或個人手中。














