貧窮
貧者越貧,富者越富
貧富差距作為普遍的現象,不禁讓人好奇怎麼界定貧窮與富裕。而貧者越貧,富者越富,或許可以用來作為界定標準。
貧窮陷阱
當考慮未來個人淨值與當下當下個人淨值間關係,並假定其他因素不變,可以將貧者越貧,富者越富寫作下列條件:- 存在淨值門檻,區分貧窮與富裕
- 當個人淨值低於門檻,未來淨值下降
- 當個人淨值高於門檻,未來淨值上升
此一條件,參照下列白經濟對貧窮陷阱的敘述:
部分經濟學家認為,邊際報酬並非總是遞減,當產出很少時,邊際報酬可能反而遞增,而呈現下圖 (a) 的 S 形,而這正是無法脫離貧窮的原因。
S 形曲線的經濟有 2 個長期狀態,一個產量高、一個產量低,若一經濟體的起始狀態在門檻的左方,如上小節的討論,經濟體會逐年走向較低的長期狀態,也就是「貧窮陷阱」。

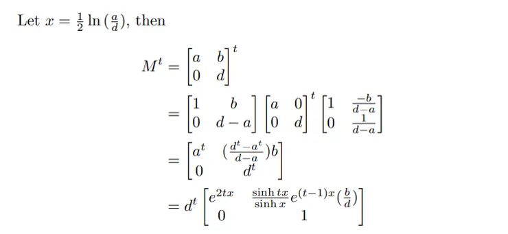
假設模型
使用本專題先前的文章《複利?不錯但還可以更精確》,對於資產與負債的變化,假定皆不計風險以相同複利成長,並以定期投入固定比例薪資,用以累積資產或償還債務。套用同樣算式,依據淨值與薪資比例來討論,並比較現在與未來資產。


討論
參數
在上述貧窮陷阱假設模型中,有下列參數:
- d: 薪資變化,為正實數
- x: 利率相較於薪資變化,為實數
- b: 投入比率,為實數
- R0: 當下淨值薪資比,為實數

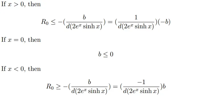
- 若利率較高 x>0,則貧窮陷阱指淨值過低,債務累積。
- 若利率持平 x=0,則貧窮陷阱指入不敷出。
- 若利率較低 x<0,則貧窮陷阱指淨值過高,資產縮水。
此時符合貧者越貧、富者越富假設的只有利率較高的情境,故設定 x>0。
情境
- 當債務過高時,顯然處於貧窮陷阱中。
- 而當有一點點資產,然而過著入不敷出的日子(b<0),仍有可能處於貧窮陷阱。
- 其餘情況即擺脫貧窮陷阱。
結論
再次回到開頭貧者越貧、富者越富的說法,再僅僅考量個人淨值的情況下,即便其餘條件如投資機會等皆是公平,仍然成立。本篇假設忽略風險、投資與借貸利率的不對稱、投入比率隨加薪調整,只作為理解馬太效應的簡易推算,切勿忽視假設過度延伸解釋。
依此假設,貧窮陷阱有兩項主要成因:
- 過高的債務,淨值薪資比過低
- 嚴重入不敷出,花費超過薪資
- 對於第一項成因,債務,建議審視自身償債能力,設定債務上限。如房貸、車貸、學貸、卡債等債務,在能夠預期個人收入的情況下,可計算扛債上限,過於高價的房子是顯然無法負擔。
- 對於第二項成因,入不敷出,建議樽節開銷並考慮轉至足以負擔開銷的工作。在工作收入合理的情形下,量入為出是顯然有效避免貧窮陷阱的作法。然而在收入低得不合理,難以維持基本生活開銷的情況下,更換職場是迫切的需求,切勿容忍低薪。
- 此外,為了避免緊急的重大開銷使自己落入貧窮陷阱,適當的保險以及緊急預備金是樸素而有效的作法。




















