本文是以馬達的角度,來看待電阻這一物理特性。
電阻的基本定義是很簡單的,在維基百科上就說得蠻好的,是用來定義阻礙電流的一種物理量。因此在數學表示式中,很簡單的把電壓(V)除以電流(i),即為電阻(R),其單位為歐母(Ω)。
這裡需要特別注意的就是"阻礙"這件事,其一是想要了解阻礙產生的原因,其二是要討論阻礙對馬達產生的影響。
阻礙產生的原因:可以參考科學月刊001期中的"甚麼是半導體"中的說明,以材料的觀點出發。簡單的概念是電子被原子核鎖住,像被關在一層晶格監獄中,必須打破鏈結,也就是監獄中的牆壁,才能移動;而這牆壁就是一種阻礙。

筆者愛用的觀點,是從能量下手,把它視為一種能量障礙。是依照牛頓第一運動定律,動者恆動,靜者恆靜的原則。當任何一物理狀態,需要改變時,都要付出能量代價;因此電子想要移動時,必須付出"電阻"的代價,這代價就是阻礙。更口語的說法,就是買路財,沒付錢,別想過。
由上述物理材料及能量的觀點來看,無論如何電阻基本上不是我們喜歡的東西,它導致電能在傳遞時,會有一定的損耗,做為代價。所以如何讓電阻變小,成為一個研究方向,其極致的結果稱為超導,是電阻為零的型態;在馬達領域中亦有超導馬達的題目。
然而世事無絕對,傳統感應馬達,是需要電阻值來調配,做馬達電流限制的保護機制,避免馬達過熱燒毀的情況。
阻礙產生的影響:在瞭解了電阻阻礙型成的原因後,再來要討論產生的後果。由於能量守恆的定律,在地球上的能量損耗,都會轉換為"熱"的型態產生,這對馬達來說,是一個很糟糕的壞循環。
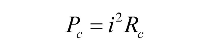
由於馬達內部都使用漆包銅線來承載電流,因此在電阻符號旁邊,我們多加一個C的下標符號來代表銅(Copper),而這因電流及銅線電阻所產生的損失,我們稱之為銅損(Pc),其單位為功率(W)。這銅損在馬達當中,會轉換為熱的存在,造成馬達溫度增加。

會稱其是壞循環的原因,是銅材的電阻溫度係數可知,銅阻值會隨著溫度上升而增加;其用攝氏溫度(°C)來計算的數學式可參考下列公式。這造成馬達的銅損會隨電阻變大而持續不斷的增加,造成更多的熱,使馬達溫度持續上升,最終造成馬達燒毀。

因此在一般情況下,馬達希望電阻越低越好,可以降低銅損的產生,提高馬達能量轉換的效率,也避免馬達溫升造成的影響。
重點整理:
電阻基本上是不受歡迎的物理量,最好能趨近於零。
馬達效率及溫度,會受到電阻影響。
#可擔任業界顧問、講師
#個人經營歡迎贊助
馬達技術傳承計畫
想要馬達的技術嗎?想要的話可以全部給你,去找吧!
我把所有的知識都放在那裡了。



















