本文將針對馬達中的機械損進行說明。機械損中包括了摩擦損、黏滯損及風損,三種損失;本文以風損為主。
本來想要偷懶略過,因為風損在馬達本體內,影響的程度太低,必須到達產品狀態後,才會以負載的型式呈現。筆者也僅在開關磁阻馬達的設計上,需要去注意風損造成的影響。開關磁阻馬達其轉子為了擴大DQ軸的差異,產生較大的磁阻力,轉子的造型往往有很大的凹陷處,因此會在圖中的紅色部份產生風阻,也就是風損。尤其磁阻馬達的工作轉速較高,也使得風損被放大,造成筆者的注意,導致筆者還以製程手法來消除風損的影響。但後來開關磁阻馬達就勢微,被同步磁阻馬達取代,也就沒這風損的問題。
以下這段是維基百科上的說明,定義的蠻清楚的,因此直接引用:
"風阻力(又稱後曳力或流體阻力)是物體在流體中相對運動所產生與運動方向相反的力。對於一個在流體中移動的物體,阻力為周圍流體對物體施力,在移動方向的反方向上分量的總和。而施力和移動方向垂直的分量一般則視為升力。因此阻力和物體移動方向恰好相反,像飛機前進時會產生推力來克服阻力的影響。 "
白話一點的說法,就是風移動的狀態跟物體移動的狀態有落差時,就會產生阻力。逆風時會直接感覺到阻力大;而順風時,您移動的速度比風快的話,那仍然會感受到阻力。
在馬達內部所引發的風損,其實除了上述的風阻力外,還包括了馬達轉動所引起之空氣流動,因結構空間限制所產生之流場壓力差。會如此定義,主要是有些馬達為了幫助散熱,會在轉子上安裝風扇,這種風損就很直接。
一般常見的風扇造成的風壓及風量的變化趨勢如下圖所示,風壓是直接對應馬達轉矩輸出,但這說法其實是把風扇作為負載。因此若是基於馬達內部結構造成的流場壓力時,就會屬於馬達內部損失的一種。

筆者身邊就有個例子,一顆原本耗電400W的馬達,為了做散熱處理,加裝了風扇之後,耗電變成了600W。對馬達來說,我是多背了一個200W的風扇負載;但對使用者來說,這200W是損失,因使用者原本需要的轉矩並沒有加大,但耗電卻增加了,就像是效率下降,損失增加的感受。
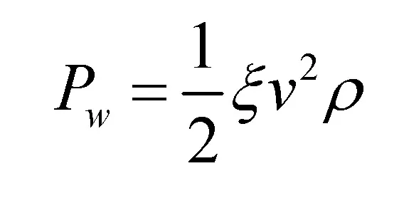
風損數學表示式入下,其中Pw為風損、 為ξ風阻係數、為ν流體相對於物體的速度、ρ為流體密度;由於此處以風為主,因此提到的流體都是指空氣,但也可轉換至其它流體情境中使用。

以力的形式表示,其中Fw為風阻力、A為作用面積。

再將其轉換為轉矩與轉速關係,其中Tw為風阻轉矩、ω為流體相對於物體的角速度。

這些數學方程式提供了我們降低風損的辦法,如上述的開關磁阻馬達這就是將其作用面積A刪減,達到降低風損的效果。但剩下能降低風損的方法,主要是降低風阻係數ξ,因流體密度ρ及ω角速度這兩點是無法更動。而風阻係數往往與外觀、尺寸、材質等條件有關,基本上屬於流體力學的範疇了。
重點整理:
馬達背後存在非常多的技術領域,可以不求精,但至少要知道。
#可擔任業界顧問、講師
#個人經營歡迎贊助
馬達技術傳承計畫
想要馬達的技術嗎?想要的話可以全部給你,去找吧!
我把所有的知識都放在那裡了。



















