狹義的銅損,其實在之前的電阻單元已經有提過了,但在馬達設計的理論當中,受到導電體所產生的損耗,不僅僅是銅損而已;本文將總括進行說明。
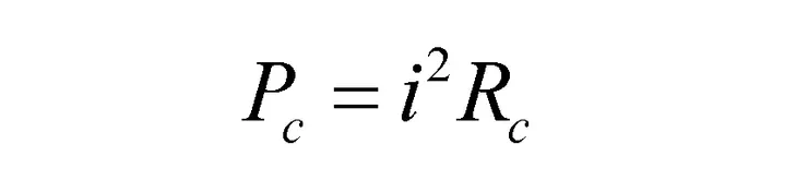
銅損(Copper Loss)其實不太準確,事實上它也不專屬於"銅"才會發生的損失,所有導電體遇到電流流通時,都會產生這種損失。僅是因為銅的導電率高,但價格又相對便宜,馬達漆包線及電線都採用銅,才逐漸以銅損一詞來表示。在功率開關元件,如MOSFET及IGBT當中會提到的導通損(Conduction Loss),也是相同的損失。由銅損方程式中,可以明確的看出影響銅損的參數,分別為電流及電阻。其中電流的影響又為平方倍,因此在電子工程中,電流可算是罪大惡極,必須想盡各種辦法來降低工作電流;而在電機工程當中,電流是能量的來源,無法捨棄,得另謀對策。特別的是,依此公式來看,將電流值降至1以下的話,平方關係則會使銅損快速降低,是個特殊的優點;但馬達設計者很難享受這紅利。

當馬達設計無法降低工作電流時,那就只能從電阻著手,其相乘的正比關係,代表電阻越小,則銅損也就越小。要有效的降低銅損,有以下幾種方式
1.導電率(Electrical Conductivity)高的材質:表面上的說法,就是換導電率更高的材料,如銀;但實務上銅的純度也需要考慮。筆者曾經使用不同國家所生產的漆包線,來製作同一規格的馬達,才發現原來各國對於"純"的定義是不同的,導致電阻產生差異,影響馬達輸出特性。
2.線徑粗度:此處指得並非是單一條漆包線徑的粗細,而是總導體截面積之合。若有拆過電線則可發現,大多採用多條細線捲在一起,而非單條粗線。主要是單條粗線會造成硬度太強,無法任意捲曲收納,因此採用多條細線並聯的方式,維持其總合截面積大的效果,以降低電阻值。但此種手法在馬達內部使用的話,會降低槽滿率,需謹慎評估;因此馬達大多是直接加粗線徑,來降低電阻值。

3.導體長度:導體越短則電阻也就越小。因此馬達繞線時,線圈排列越整齊越緊實,則馬達效率就會提高。這也造成了不同馬達廠,雖然採用相同的材料,但做出來的馬達品質會有落差的關鍵。

4.降低溫度:這部份在之前的電阻篇中也有提到,溫度係數使電阻值隨者溫度變化而改變,基本上是正比關係,溫度越高則電阻值也越高。因此加了散熱裝置的馬達,其效率會增加的原因,就是降低了電阻值,也降低了銅損。
重點整理:
銅損的原理是簡單的,但要如何降低才是難度。
#可擔任業界顧問、講師
#個人經營歡迎贊助
馬達技術傳承計畫
想要馬達的技術嗎?想要的話可以全部給你,去找吧!
我把所有的知識都放在那裡了。



















