本文延續上一篇中的鐵損(Core Loss)進行說明。
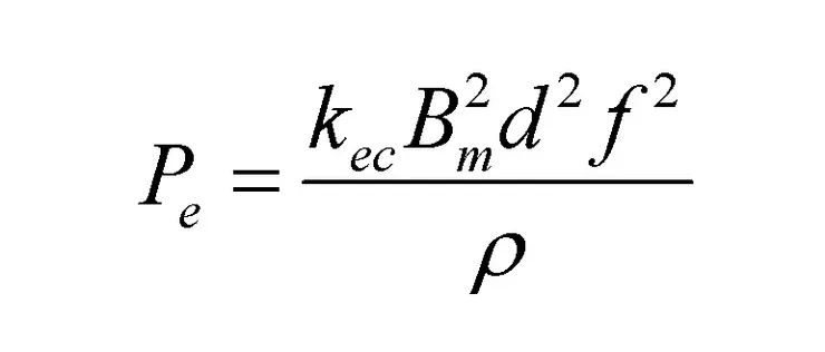
渦流損(Eddy Current Loss)亦為作用於導磁材料上所產生之損失,屬於鐵損的一種;係因馬達運轉時,瞬間磁場變動所引起之電磁感應電流,也就是法拉第定律,而生成的損失。其數學方程式如下,其中Pe為渦流損、kec為導磁材料電磁性質參數、Bm為導磁材料磁通密度、d為導磁材料厚度、f為磁場變換頻率、ρ為材料密度。
由於kec及ρ都為材料相關係數,選好材料後,就為一固定值。而磁場的變化頻率f以及導磁材料上的磁通密度Bm,這兩項參數在磁滯損中也同樣存在,但其次方比都增加了,代表影響的程度進一步升級。同樣的在馬達設計時,磁通密度Bm會拉到最高值,則可將其視為一固定值。如此一來馬達轉速的變化就是影響磁場變化頻率f最大的主因。
其中比較特別的是磁通方向的厚度d,是之前沒有出現的的尺寸因素;這也是矽鋼片為何要切薄片的原因。主要是渦流損的強弱,跟渦流的路徑長度有關;可將其想成一個電流環,當電流流經的範圍越大,則電流的導通損就會越大。將矽鋼片切薄,就是使得磁場方向的渦流路徑縮短,達到降低渦流損的效果。


由於多了磁通方向的厚度d,這項參數,使得降低渦流損的手段多了一種。目前標準矽鋼片的厚度為0.5mm,但已經逐漸往0.35、0.25、0.2及0.1mm發展,就是為了能降低渦流損值。
雜散損(Anomalous Loss)這部份,十分有趣,基本上就是產生在導磁材料上,但又不符合磁滯損或渦流損的範疇內,就算在雜散損當中。依筆者的個人經驗來看,其實就是加工後造成的損耗。由下圖可知,針對馬達矽鋼片不同位置進行磁化曲線量測後,發覺其表現並不相同。代表加工成型的過程中,會對材料的組織造成傷害及影響,這是材料力學中,加工應力的表現,可藉由回火的工序讓組織重新排列恢復。這一專有名詞在馬達矽鋼片加工產業中,稱為燒鈍;但真的要注意溫度的掌控,一但加溫過頭,造成矽鋼片表層的絕緣漆損壞,反而會讓渦流損爆增。

重點整理:
高轉速、高磁極數的馬達,鐵損要特別注意。
#可擔任業界顧問、講師
#個人經營歡迎贊助
馬達技術傳承計畫
想要馬達的技術嗎?想要的話可以全部給你,去找吧!
我把所有的知識都放在那裡了。



















