系統模擬有一個好處是,我們可以直接堆完擺件然後以此做為流阻,去找風扇操作點,以此作為依據,從而得到溫度的結果,避開設定流量邊界的困擾。當然如果能直接設定流量是又快又省事,但是這是在東西做出來之後才有辦法透過實驗量測,在東西出來以前,你又想要有參考基準,這會是卡死的迴圈。
此外,直接給定流量邊界的另一個限制在於,他是均勻的邊界輸入,如果想要表現出不均勻的風扇出風,這點也是無能為力的。
根據風機的操作方式我們可以把風扇特徵化為,幾何,PQ curve,和轉速三個主要參數。其中幾何相對單純,基本上就是外型尺寸與hub尺寸兩個參數,剩下兩個比較麻煩一點。
PQ Curve
PQ curve是一條描述壓力與流量關係的曲線,一般可以在datasheet中找到。
我們可以將這個曲線輸入系統模型,用模擬來去抓風扇的操作點。

但是實際上會遇到一個問題 - PQ curve常常是非線性的,更要命的,有反曲點。
實際上在1的區域,風扇會劇烈震動,而體現在數值分析上就很容易發散,也因此,一般風扇都會設計讓工作區間在2,來保證他是單調遞增或是遞減。
如果我們很如實的datasheet寫什麼我就畫什麼的話,那麼當解搜尋到1附近的時候,很可能就會抖動抖一抖就噴掉了。
於是,我們可以引入一個假設,也就是我預先知道解一定是在2的區間,那麼在這之前的部分我可以不那麼如實的去畫他,把它簡化成一條單調遞減的曲線。

那麼現在就有兩種選擇了,A和B,乍看之下好像沒什麼差別,因為後段都一樣,但是實際上A比B好一些。因為當解在區域1的時候,B過於水平,可能導致解在搜尋的時候因為斜率過低,速度極為緩慢或甚至是不動。透過稍微技巧性地處理,可以避開這件事。
同時記得我們做過的假設,反過來也代表,如果最後結果落在1的區域,我們仍然可以計算出一個結果,不會發散,但是這個解不具有意義,因為那是我亂畫的,重點是我們可以得知這不是一個合格的設計。
轉速 (Swirl Model)
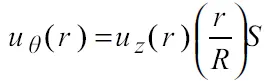
在不那麼講究的狀況下,我們假設風扇垂直出風,因此轉速預設為0也是可以求解的。但是如果我們講究點,風扇出風不會是理想的集中出風,總是會往周遭開掉一些。swirl model就是進來修正切線速度讓出風帶有旋轉的感覺的。


不帶切線速度影響的風扇,看起來出風理想且集中,而經過切線速度修正的風很明顯是開掉的,當然,理論上比較接近實際狀況。

在Icepak提供兩種修正方式,指定強度或是指定轉速,預設為0,也就是忽略這部分

,其中S 為Swirl Magnitude

,其中RPM是額定轉速

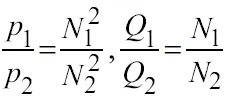
另外,Icepak的風扇模組可以透過指定操作轉速來對PQ curve來進行修正。
理由是,通常我們拿到來自廠商的PQ curve只會是100% duty的測量曲線,不一定符合你使用的狀況,方法就是透過風機定律對原始曲線進行縮放。

,其中 p=壓力,N=轉速,Q=流量


















