筆者想跟各位老師、家長解釋,同學這邊會弄不清楚,有一個很大的原因叫做限制,想像力被限制住,導致後面解題解不清。這有點是建構順序的問題,筆者的個人經驗是,照著課本順序做,有人會把平行跟截角性質當一回事,把後面的四邊形當另一回事,完全組合不起來。
國三上數學,可分為相似形、圓形與三角形的心,也就是國中幾何。基本原理要懂一點都不難,但由於國三幾何會把過去一二年級學過的全部用上,所以考試成績會讓學生很挫折。這種考驗過去有沒學好的總整理,筆者個人的經驗是:「沒辦法」。
過去沒打好的底,想要臨時抱佛腳,在幾何這種非常需要累積的部分一定撞牆,若腦袋夠好到一看便知,過去也不會考太差。不過是不用到放棄,因為說難是很難,但攤開到國中會考裡面,基礎題一題、變化題一題,基礎掌握好拿B沒問題,每一個章節基礎題都拿到就B++,變化題會了就是A,所以想通就知道,打好基礎最重要。
此時想從頭鍛鍊實在很拚,做不到也不勉強,就抓好基礎題型的觀念,把握基本分就對了。
相似形
一開始並不會就丟相似圖,而是從基本的比例線段開始,因為既然圖形相似,就必然有某一些特質。這邊就從結果反著講,請同學謹記,若有兩個圖形是相似、但非全等,那麼一定
- 每個對應角的角度都相等
- 每個對應邊的長度都成固定比
這裡要跟新進數學老師講一下,這看來實在太簡單,導致忽略掉有同學是沒想通的,為何沒想通?筆者把怎麼教的的關鍵放在下圖。

有兩個長方形,ABCD與EFGH是相似形,一般老師在教的時候,會講:「角A等於角E,角B等於角F……然後線段AB跟線段EF比例為1:2……所以兩個相似。」
為後段學生解鎖未知領域
這講法沒有問題,但對於幾何觀念不好,在中等以下的學生來說,是不夠的。我們需要完整的這樣講完,最好還要作圖去畫線比對如下:


呃,廢話多講幾次?不是。
因為幾何程度不好的學生,一言以蔽之就是視野狹小,你跟他講角A跟角E一樣,他只會看到這樣:

我們必須把每個角跟每個邊的對應關係,一個個講給他聽,他才會把灰色的地方慢慢消除。講完後,立刻丟填空學習單,找幾個簡單圖形,把對應角跟對應邊的比例,一個個列給他看,讓他填空。
不然保證教過就忘記,他下次還是只會看到一小塊地方。
筆者自己教的順序,就是把這個相似大前提先講,講完後開始才去講比例;再講比例線段,然後才去講面積等關係,最後才教相似三角形。比較麻煩的是時間,有時候沒空只能跳著上,所以家長如果有空,建議自己在家補足這部分。
比例:拆解細節,勤練補強數感與聯想力
首先,比例的問題會出在哪?主要會有「連比」跟「代數的比」。
連比的問題出在不熟,或者是根本的聯想力,聯想力真的無解,不熟可以練。一般來說連比的題目會像是這樣:
範例:甲:乙為1:2,乙:丙是2:3,請問甲:乙:丙為多少?
答案:共通的為乙,所以把關係式疊起來

範例:甲:乙為1:2,乙:丙是3:2,請問甲:乙:丙為多少?
答案:共通的為乙,所以把關係式疊起來

看起來很簡單,但對於數字感覺比較弱的學生,師長請謹記要照著這種拆解步驟法丟學習單,不然跳著做就會在代數遇到障礙,因為題目長的不一樣。
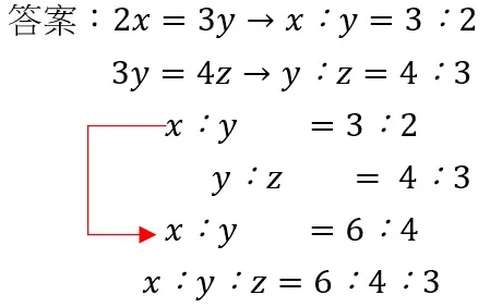
範例:已知2x=3y、3y=4z,請問x:y:z為多少?

很麻煩?是,所以學校跟補習班如果來不及,可以去拿一些學習單,或是最簡單的練習卷(一張10題那種),回家練幾次,效果會不錯。
比例線段:圖解比公式更有用
接著是比例線段,單純的比例不會有幾個人弄錯,這邊最大的障礙在於「平行線截比例線段,還有內分比」,示意圖如下:

課本跟參考書有證明,筆者就不重寫一次,只講結果。
平行線截比例線段:

紅字的部分最容易忘記,就是橫的線段BD與線段CE之比,會跟兩側的比例一樣。經驗上要教會這件事情,拿證明或是數字去算,效果不大,筆者通常會拿兩個相似三角形,一比出來之後就好解釋,如下圖。

因為可以拿出△ABD跟△ACE兩個,對應角一樣,對應邊等比例,所以兩者的邊長當然等比粒,所以為何線段BD:線段CE=線段AB:線段AC?就只是大小三角形的「底邊比」跟「側邊比」一樣啊。
經驗上來說,看不懂的同學,大部分都會恍然大悟,不會整個人陷入看截線段半天,還是看不出所以然的窘境。
如果不是三角形,是截成四邊形,為何有些線段可以,有些不能比?用這種方式也很好說明,如下圖。

很明顯不一樣對吧?所以不能拿三角型的例子,去佐證這種截線段每一邊的比例都會一樣。有時候,用簡單的圖示,會比公式解半天要有用,學生也比較快抓到那個概念。



















