上一篇「醫學影像之原理與發展簡史(上)」介紹完了 19 世紀末意外發現的 X 光,和因應 20 世紀戰爭所需而發展出的應用超音波的技術,現在要來介紹另一個嶄新的醫學領域——核子醫學(Nuclear Medicine)的誕生。
或許你會覺得有點困惑為什麼突然冒出這門神奇的學科,但如果瞭解了當時的時代背景和科學發展後,你就會知道這其實和 X 光的發現密切相關。那就讓我先把時間拉回到倫琴剛發現 X 光的 19 世紀末吧⋯⋯
▍「放射性」的發現
1895 年底德國的倫琴發現了 X 射線後,儘管他測試出了許多 X 射線的性質(像是它無法穿過鉛),他仍然不知道究竟是克魯斯克管中的何種物質發出了 X 射線,於是他在隔年 1896 年初寄了許多信給當時的其他學者,其中包括對物理學也有些涉略的著名法國數學家亨利・龐加萊(Henri Poincaré)。
龐加萊在當時法國科學院的一次會議中將倫琴的信拿出來和大家討論,並且提出一個猜想(不是數學的那個 XD):X 光應該是來自於克魯斯克管的螢光。在場有一位法國物理學家亨利・貝克勒(Henri Becquerel)對這個發現很感興趣,因為他在研究的東西正好是許多會發出磷光的礦物(其中有很多是鈾礦)。順帶一提,磷光和螢光並不完全一樣,磷光材料在照射到紫外線後還會持續發光一陣子(例如夜明珠),但螢光則否,不過兩者都是某些物質受紫外光或 X 光等高能的光照射後會發出的冷光。
身為研究磷光物質的貝克勒,隔天馬上開始尋找他所研究的磷光物質中會不會有 X 射線的身影,因為既然如果是克魯斯克管的陰極射線照射到玻璃管壁發出螢光混有 X 射線,那麼受到紫外線照射發出磷光的物質會不會也有發出 X 射線呢?
我們現在都知道 X 射線和螢光根本是兩回事,雖然都是電磁波,但能量相差很大,形成的原因也大不相同,可是當時許多物理學家都測試出磷光物質的確有看不見的射線穿透出來,覺得那應該就是 X 射線,誤以為龐加萊的猜想是正確的。貝克勒也嘗試了許多種鈾礦,一開始他也以為是應該的確是如此,不過沒過多久他發現了一些異象。
1896 年的二月底,因為天氣不好無法照陽光的關係,貝克勒將他準備好的裝置收在抽屜,但後續幾天天氣也沒有轉晴,於是決定先洗出這次的底片,可是他原本以為這時候洗出來的底片應該只會有非常微弱的成像(因為沒照到陽光的紫外線),結果卻意外地非常明顯。

但其實貝克勒並沒有馬上意識到這是完全不同的現象,他認為是似乎有種看不見但更持久的磷光存在,又或許也是先前倫琴發現的 X 光,總之他那時 1896 年還不知道這發現的重要性,只簡短地用文字描述他的結果(在 1903 年放射性的討論越來越熱烈後才補發)。
在這項發現還被其他人拿來作為龐加萊的假設的佐證之一時,有另一位默默無名的英國物理學家西爾瓦努斯・湯普森(Silvanus Thompson)幾乎在和貝克勒同一時間做出了類似的結果(選用的物質不同),雖然他後來知道自己晚了貝克勒一步,但他一直很積極地想去了解這個現象,甚至將這個不確定是不是新的射線稱為「超磷光(hyperphosphorescence)」,這個稱呼也開始在當時流傳。
這個名稱後來也傳到了瑪麗・居禮(Marie Curie)的耳中,她就是著名的居禮夫人。那時她正在準備博士論文,並利用丈夫皮埃爾・居禮(Pierre Curie)的儀器精準地測量鈾礦發出的射線所造成的周圍的靜電(因周圍氣體被高能的射線離子化)。在上一篇文章有提到居禮先生的研究是壓電材料等晶體,正是因為這樣的背景讓他設計出了相當精準的靜電測量儀器。接著在 1898 年,居里夫人發現含有釷的礦物也會造成周圍產生靜電的現象,而且強度和鈾礦相當,可見這個現象並不是鈾礦所獨有的,而是一種更普世的現象,因此她提出了「放射性(radioactivity)」一詞來描述此性質,並且還批評「超磷光」這個名稱搞錯了貝克勒的射線的本質。
居禮先生也開始對他妻子的研究感興趣,於是加入了她的研究,他們兩夫婦後來透過放射性的差異還發現了礦物中的新元素釙和鐳,後面會再詳述。
貝克勒當時注意到同在法國的居禮夫婦對他發現的射線所做的研究,於是開始積極介入,之後 1903 年的諾貝爾物理學獎是以貝克勒「發現放射性的現象」,和居禮夫婦兩人「對貝克勒發現的放射性現象的共同研究」,由貝克勒(1/2)和居禮夫婦(兩人共 1/2)各獲得一半的獎金。明明要不是有居禮夫人,貝克勒才拿不到這個獎。
我們現在已經知道放射性物質會放出 α、β、γ 三種射線,α 的本質是氦原子核,β 則是電子,而 γ 則是電磁波,而且是比 X 光能量更大(波長更短)的電磁波。這些物理學家觀測到的當然就是 γ 射線,本質上和 X 光一樣(如下圖最右邊的 X-ray 和 Gamma ray),所以會被誤認為是同一現象其實也不奇怪,只是形成的原因一度被誤解而已。

▍風靡一時的萬靈丹:鐳
居禮夫人除了提出放射性的概念之外,更進一步指出這是原子本身的性質,因為她發現無論是鈾的哪種化合物形成的礦物,只要含有鈾,放射性的強度就和鈾的含量成正比,可見放射性的來源是鈾原子本身,和其他成分或分子結構無關。
這其實也暗示了原子可以再進一步分割的這項事實,否則原子何以平白無故釋出能量?肯定有其他不知道的現象在原子內部發生。
居禮夫人還注意到,那時她在分析的方鈾礦(Uraninite)放出的射線強度居然比純鈾的放射性還高,如果她的對於「放射性是原子本身的性質」的這個假設是正確的,那其中勢必有鈾以外的原子在放出那個更強大的射線,於是她進一步去分離這個礦物,進而發現了兩個新的元素,其中一個以她的祖國波蘭命名為「釙(polonium)」(居禮夫人是波蘭人,只是到巴黎大學讀博士),另一個雖然沒有明說命名的原因,但大概是由於居禮夫婦當時沒有立刻分離出單質,而是透過放射線的光譜來確認這個新元素,將它命名為「鐳(Radium)」(拉丁文的「光」的意思)。
居禮先生還有注意到鐳的放射性會讓皮膚產生灼熱感,不過他沒有意識到這件事的危險性,反而認為這或許可以用於治療。而且不只他,還有其他許多物理學家和醫生都看好用鐳強烈的放射性去治療的技術,再加上一些臨床上成功觀察到鐳的確能讓腫瘤變小的案例,鐳瞬間成為治療皮膚癌等癌症的萬靈丹。
在 20 世紀以前的人們對於癌症治療可以說是亡羊補牢,哪裡有腫瘤就動手術切除,但如果癌細胞擴散到難以處理的地方的話幾乎是束手無策。如今發現了能夠穿透皮膚表層去破壞深層的腫瘤組織的放射性物質,讓當時的人們為之瘋狂,不只企圖用鐳治療癌症,有高血壓、糖尿病、風濕、痛風、肺結核的患者都被拿來照放射線,甚至是吃下含有鐳的藥物。
其中有個非常著名的例子:一位身為高爾夫球運動員的美國富豪埃本・拜爾斯(Eben Byers)在他摔傷了自己的手臂之後痛了好幾天都沒好,在醫生的建議下每天服用三瓶相當昂貴的藥物「鐳補(Radithor)」,這是一種含有鐳的水溶液的藥物。最後他在 1932 年死於放射線造成的癌症,死前他的下巴還整個掉下來(看到的人大概也嚇到下巴掉下來)。

不止是藥物,鐳還被製成化妝品並且被大肆宣傳:「放射出你的年輕貌美(Radiate Youth and Beauty)」、「鐳讓數千人恢復健康(Radium is Restoring Health to Thousands)」,諸如此類的廣告標語在 20 世紀初不勝枚舉!讀者可以自行複製上方標語的英文字到 Google 圖片貼上搜尋,會出現非常多當時的廣告文宣(為避免版權問題就不在本文提供)。
雖然當時也有一些針對放射性物質的規範和法案,但在居禮夫婦發現放射性後的好幾年,放射性物質不被認為是危險的,畢竟它明明是從天然產出的礦物中提煉出的成份。而且如果拋下現今我們對於放射性的認識,誰會想到和每天照的太陽光同為電磁波的放射線會是致命的?
一直到 20 世紀中葉,經過了眾多慘痛的教訓,像是前面提到的拜爾斯,還有居禮夫人也因為長期暴露在放射線下得了許多慢性病,最後在 1934 年死去,日後大家才深刻體會到了放射性的危險,鐳才終於在 1960 年代逐漸被禁用。
不過人們也沒有放棄這項治療技術,現今已經發展出了許多俗稱「電療」的「放射治療(radiation therapy)」方法,只是當然要受到相當嚴格的管制。鐳因為它的放射性太強而很少被使用,常見會用的像是「鈷-60」、「銥-192」等,或是也會用 X 光(X 光起碼還能自己控制開關,放射性物質不行)。
▍核子醫學的濫觴
以上內容雖然和本篇的主題「醫學影像」沒有直接關係,但我花了那麼大篇幅介紹上面那段歷史的原因有二:一是介紹放射性物質的發現,二是讓讀者認識到為何幾十年前的人們會嘗試將放射性物質放入人體內,明明在現在看來是那麼危險的東西,以如此後見之明來看實在難以想像。
現在套入 20 世紀初的時代背景,我想讀者應該就能理解為何喬治・德海韋西(Georg de Hevesy)會將放射性物質放入體內作為示蹤劑(tracer)了。
德海韋西出身於匈牙利的一個貴族家庭所以家境非常好,在 1908 年他拿到物理博士學位之後,去了許多不同國家和各國學術權威共事,其中在英國的曼徹斯特遇到了歐內斯特・拉塞福(Ernest Rutherford)教授(發現原子核的那位著名物理學家),拉塞福給了他一個難題讓他證明自己的實力:把「鐳 D(Radium D)」從鉛裡面分離出來。
鐳 D 其實是鉛的其中一種具有放射性的同位素「鉛-210」,但當時大家對於同位素的了解不多(畢竟才剛發現質子的存在),於是將這些有放射性的物質錯誤地命名成鐳加上一個英文字母。不知道是不是看這個有錢貴族不順眼,拉塞福自己分離不出鐳 D(鉛-210)於是丟給德海韋西去處理,從現在的角度來看,同位素的化學性質一模一樣,要用一般的化學反應分離出來幾乎是不可能的,所以德海韋西嘗試了大約兩年都沒有結果。
不過這沒有讓他氣餒,德海韋西反而化逆境為轉機:「既然鐳 D 和鉛的化學性質一模一樣所以分離不出來,而它又具有放射性,那豈不是可以把它當作鉛的顯示劑嗎?」也就是說,我們可以用有放射性的鐳 D 取代正常的鉛,去追蹤它在放出的放射線,就可以知道鉛的蹤跡,甚至透過放射線強度去定量。那時丹麥物理學家尼爾斯・波耳(Niels Bohr)收到拉塞福的邀請正好也在曼徹斯特進行博士後研究,德海韋西的想法得到波耳的賞識,之後受了他許多幫助。
後來 1913 年,德海韋西在奧地利維也納遇到了化學家弗里茲・帕內特(Fritz Paneth),發現他也在處理一樣的問題,於是兩人合力進行了利用「鉛-210」去定量硫化鉛和鉻酸鉛溶解度的實驗,「放射化學(Radiochemistry)」這門新領域也因此誕生。
1923 年又進一步將這個追蹤技術用在植物上,他讓蠶豆吸收含有「鉛-212」的水溶液並驗出蠶豆植株各部位的放射性;隔年又進行了動物實驗,將「鉍-210」注射到兔子體內觀察它的體內循環,還有用標有「鉛-210」的氫氧化物去測量它在體內各器官的表現。
之後他回到他在西德的母校弗萊堡大學擔任教授一陣子,但幾年後因為納粹德國的關係,他出身的貴族家庭又有猶太血統,於是他逃到丹麥哥本哈根(波耳的故鄉)繼續進行研究,剛好在那裡波耳提供了他放射性物質的量測等協助。
隨著更多同位素陸續被發現,能夠用來追蹤的材料就越多,像是在磷和氮的人造放射性同位素被合成出來之後,德海韋西立刻意識到這些同位素的重要性,因為它們是人體內核酸和蛋白質所含有的具代表性的原子,我們可以把其中正常的磷和氮置換成它的放射性同位素來追蹤這些分子在體內的代謝過程!
1934 年德海韋西和他的助手兩人利用氘水(水中的氫原子換成同位素氘)進行了人體的同位素追蹤實驗,但氘沒有放射性,他們是在喝下氘水之後去分析後續幾次排出的尿液密度,得出水分子在人體內停留的時間大約是 13 天的結果。
隔年又和丹麥外科醫生奧萊・切維茲(Ole Chiewitz)利用標記了「磷-32」的磷酸鈉花了一兩個月的時間觀測磷在老鼠體內的代謝,其中有些老鼠提早殺死並分析磷在他體內的分佈,除了尿液和糞便外,被攝入的磷絕大多數都在骨骼內,而且這些磷在兩個月後會被排出,不只說明了磷原子在體內代謝的時間,更證實了骨骼中的磷是動態的,骨骼的成分不是固定而是不斷地在更新,這可是生物學上非常重大的發現!
德海韋西開啟了放射性同位素在眾多領域上作為示蹤劑的應用,以「利用同位素追蹤化學反應」的貢獻獲得了 1943 年的諾貝爾化學獎,並被後人尊稱為「核子醫學之父」。
其實還有另一位美國的物理學家兼醫師約翰・勞倫斯(John Lawrence)也被許多人視為核子醫學之父(例如維基百科的核子醫學條目就是)。他的哥哥是因發明迴旋加速器(cyclotron)而獲得 1939 年諾貝爾物理學獎的歐內斯特・勞倫斯(Ernest Lawrence),利用他的加速器可以撞出許多新的放射性同位素,連遠在歐洲大陸的德海韋西的同位素也是由他提供的(利用空運的信件,先將同位素混入信件的紙張,德海韋西收到後再從紙張中分離出來)。
他的弟弟約翰・勞倫斯也在和德海韋西差不多的時間利用「磷-32」來治療白血病,還用「碘-131」來觀測甲狀腺。儘管不確定他是否是獨立做出這些結果,還是早就聽聞德海韋西的研究,考慮到示蹤劑的概念來自於德海韋西在更早之前的紀錄,且他對這項技術積極進行的許多研究也是大家有目共睹,在 1948 年還出版了一本《放射性指示劑》(Radioactive Indicators)總結了當時的許多核子醫學相關研究,對核子醫學的發展可說是功不可沒,因此雖然德海韋西不是醫生背景,但由他獲得「核子醫學之父」的頭銜應該更為恰當。
▍正子斷層造影(PET)
有了追蹤體內放射性物質的核子醫學之後,經過了幾十年的發展,現今已經進步到不只是測出放射性物質的所在,更形成了該部位組織器官的影像。這裡來介紹常聽見的其中一種:正子斷層造影(Positron Emission Tomography, PET)。
首先要先介紹何謂「正子(positron)」。20 世紀的物理學家發現許多基本粒子會有對應的反粒子,反粒子和原本的粒子性質幾乎相同,除了一些可加成的性質會呈現相反的狀態,例如電荷。這裡的正子就是電子(electron)的反粒子,幾乎所有性質都和電子相同,除了他帶正電而電子帶負電之外。
更有趣的是,反粒子彼此相遇會發生「湮滅(annihilation)」的現象,質量會完全轉換成能量(E=mc²),例如正子遇到電子的話就會發生湮滅,兩個粒子瞬間消失並轉換成能量,以 γ 射線的形式放出。
反粒子的生成雖然大部分都得要人造,但自然界其實也有它的身影,只是一生成之後就馬上消失了,畢竟周遭環境大多是一般的粒子,反粒子馬上就會遇到對應的粒子發生湮滅,所以幾乎只會觀察到最後放出的能量。
自然界會產生反粒子的其中一個機制就是「β⁺ 衰變」,前面有提到放射線分為 α、β、γ 這三種,它們分別是放射性物質的三種衰變過程中放出的放射線,稱為 α、β、γ 衰變。其中 β 衰變大多是由原子核中的中子因為弱力作用造成,並產生電子;而少數情況會是質子發生 β 衰變,產生電子的反粒子——正子。為加以區分,放出電子的稱為 β⁻ 衰變,放出正子的稱為 β⁺ 衰變。
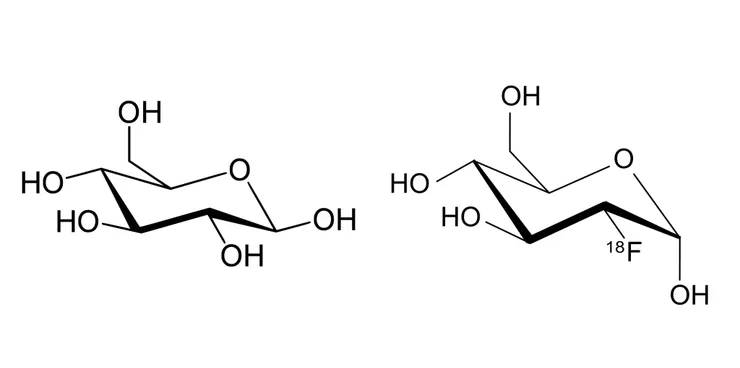
正子斷層造影就是利用會進行 β⁺ 衰變的放射性物質,透過觀測它產生的正子立刻發生湮滅而放出 γ 射線的現象來成像。常見的應用像是使用標有「氟-18」的 「FDG(Fluorodeoxyglucose)」來觀測惡性腫瘤(癌症)。
FDG 的中文是「氟代去氧葡萄糖」,將葡萄糖的其中一個氫氧根換成氟(兩者性質類似),而這個氟是使用會進行 β⁺ 衰變的氟-18,因此 FDG 有著和正常葡萄糖非常相似的性質,又可以放出 γ 射線被我們觀測,再透過 PET 的儀器將測出的訊號經由電腦成像就可以做出惡性腫瘤的影像。

為什麼會特別產生惡性腫瘤的影像?因為惡性腫瘤是異常增生的細胞,而大量的細胞分裂當然就需要大量的能量,細胞的粒線體產生能量會需要消耗大量葡萄糖,因此當你體內有惡性腫瘤時注射葡萄糖到你體內,會有許多葡萄糖聚集在惡性腫廇上,而此時的葡萄糖其實是 FDG,放出的射線就讓腫瘤現形,著實上演了一齣精彩的木馬屠城記!(其實也沒有「屠」就是了)

上圖中的黑色部分就是有 FDG 的位置,除了大腦和膀胱等器官本來就會聚集葡萄糖以外,這位病患的肝和許多骨頭內都有惡性腫瘤,癌細胞擴散的情況一目瞭然(患者大概也沒多少時日了⋯⋯)。除了左圖黑色和右圖彩色的部分是 PET 的成像以外,影像背後的其他人體構造是結合 CT(電腦斷層)做出來的,關於這個技術先暫時不談。
PET 當然不只利用 FDG 作為示蹤劑,還可以隨著你要觀測的對象或是其他用途替換成不同物質。例如科學家已知阿茲海默患者的大腦中會堆積的「類澱粉蛋白(amyloid)」會和「硫磺素 T(thioflavin T)」這種螢光蛋白結合,在 2004 年美國的匹茲堡大學的一個團隊開發出了和硫磺素 T 類似的物質,稱之為「PiB(Pittsburgh Compound B)」,並且將 PiB 上的其中一個碳原子換成碳的放射性同位素「碳-11」。和上面 FDG 一樣的道理,就能做出大腦中類澱粉蛋白的堆積影像,作為診斷阿茲海默的工具之一。

至於留在體內的放射性物質也不必擔心,因為會選來用的半衰期都很短,例如前面提到的「氟-18」只有 109.8 分鐘,「碳-11」則只有 20.4 分鐘,用不了多久就變成沒有放射性的「氧-18」和「硼-11」,而那些物質本身也會被你的身體自然代謝掉。
看到這裡應該會發現 PET 著重在組織或器官「功能」的表現(大多數核子醫學的成像技術都是),並不會獲得太清楚的影像,畢竟放射性的標記都是針對特定物質,那麼當然就只會針對特定對象來表達。如果要呈現出更清楚、更全面的器官影像,就得利用 CT 或 MRI 等其他技術,這部分在下篇再繼續介紹。
參考資料
- Martins, R. A. (2021). A Pool of Radiations: Becquerel and Poincaré's Conjecture. Historical Essays on Radioactivity (pp. 7-51). Quamcumque Editum.
- Becquerel, H. (1896). Sur les radiations invisibles émises par les corps phosphorescents. Comptes Rendus Hebdomadaires des Séances de l’Académie des Sciences de Paris 122, 501-503.
- Becquerel, H. (1903). Recherches sur une propriété nouvelle de la matière – activité radiante spontanée ou radioactivité de la matière. Mémoires de l’Académie des Sciences de l’Institut de France 46, 1-360.
- 王道還(2002)。科學史上的這個月——一九〇三年六月居禮夫人獲得博士學位。科學發展,354,72-74。
- Adloff, J. P. (1999). The Laboratory Notebooks of Pierre and Marie Curie and the Discovery of Polonium and Radium. Czech. J. Phys. 49, Suppl. 1, 15-28.
- Kang, L., Pedersen, N. (2017). Quackery: A Brief History of the Worst Ways to Cure Everything. Workman Publishing Company.
- Lui, E. (2021). The History of Radium. Retrieved December 7, 2022, from http://large.stanford.edu/courses/2021/ph241/lui2/
- Myers, W. G. (1996). Georg Charles de Hevesy: The Father of Nuclear Medicine. J. Nucl. Med. Technol. 24, 291-294.
- Muscato, C. (2022). History of Nuclear Medicine. Retrieved December 2, 2022, from https://study.com/academy/lesson/history-of-nuclear-medicine.html
- Hevesy, G., Hofer, E. (1934). Elimination of Water from the Human Body. Nature 134, 879.
- Chiewitz, O., Hevesy, G. (1935). Radioactive Indicators in the Study of Phosphorus Metabolism in Rats. Nature 136, 754-755.
- Obaldo, J. M., Hertz, B. E. (2021). The Early Years of Nuclear Medicine: A Retelling. Asia Ocean J. Nucl. Med. Biol. 9(2), 207-219. https://doi.org/10.22038/aojnmb.2021.55514.1385
- Distinguished nuclear pioneer--1970 John Hundale Lawrence, M.D. (1970). J. Nucl. Med. 11(6), 292-293.
- Almuhaideb, A., et al. (2011). 18F-FDG PET/CT Imaging In Oncology. Ann. Saudi Med. 31(1), 3-13. https://doi.org/10.4103%2F0256-4947.75771
- Klunk, W. E., et al. (2004). Imaging Brain Amyloid in Alzheimer's Disease with Pittsburgh Compound-B. Ann. Neurol. 55(3), 306-319. https://doi.org/10.1002/ana.20009
本文同步發佈於 Matters。
- 如果喜歡我的文章,還請不吝【❤️按下愛心】 、【👏拍手】、【➕追蹤】!
- 我平常更常在 instagram 發布短文,等內容累積到一定的量後才會整理出完整文章發布在這,也歡迎有興趣的讀者來逛:@study.msh




















