分散風險
當風險作為報酬的前提,試著分散風險是一種合理的做法。
在風險與報酬之間的平衡,已是老生常談。
然而分散風險對於報酬會有怎樣的影響?
曾聽聞一類說法,認為分散風險不能提升報酬;
另一方面也聽說,分散風險反倒有助於報酬。
若將資產複製為 N 份獨立漲跌的副本,並將本金平均地分散其中,
那麼能否帶來額外報酬?
情境假設
考慮最簡單的丟銅板,作為資產增減依據,並觀察將一個銅板推廣至 N 個銅板的效果。對於單一次丟銅板,一次丟出 N 個,其正反面分布為二項式分布。

報酬率
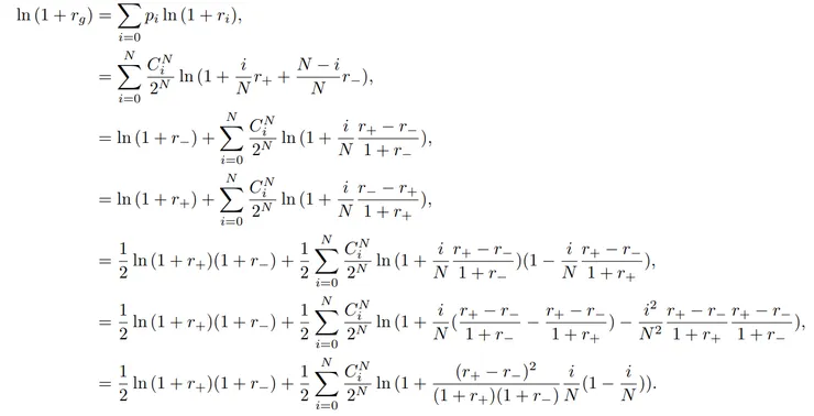
對於已知的報酬率分布,可以分別計算得到算術平均以及幾何平均報酬率。


免費的午餐
觀察算術平均報酬,很顯然與銅板數量 N 無關;
而對幾何平均報酬而言,存在與銅板數量 N 相關的級數和,貢獻其中。
可以將此級數和稱作分散風險好處 BN,並觀察是否真的是好處。

此時分散風險好處 BN 不少於零,確實算得上好處。
唯有 N=1 時,因 i=0 或 1 ,BN 回到零,回到起始基準。
討論
在考慮簡單的丟一個銅板情境下,我們對於結果是正面或反面沒有任何資訊可以猜得更準,僅知公平且報酬只有兩種可能。若存在其他規則相同的銅板,使得風險可以分散至 N 個銅板所丟出的 N+1 種結果,即可以獲得幾何平均報酬的提升。
在其他情境中,由於報酬分布不僅僅是簡單的公平銅板的兩種可能,並且未必有能力進行任意 N 份副本複製,使得其他情境更為複雜。與此同時,存在著不同類別的資產,使得投資者不僅僅可以分散至同類別的副本,而可以更進一步分散至不同類別中。關於不同類別資產的分散風險,可以參考資產配置、效率前緣等文章:
- 《Efficient Frontier 是什麼?
想知道最佳的資產配置,效率前緣告訴你答案》 - 《什麼是效率前緣(Efficient Frontier)?
為什麼不把投資組合按照效率前緣調成最有效率的投資組合?》 - 《Markowitz 和效率前緣》
回到一開始的問題,分散風險與報酬間究竟有甚麼關聯?
在本篇假設中,分散風險可以提升幾何平均而非算術平均報酬率。
好在,幾何平均報酬正是貓貓所希望提升的目標。















