大家常常說,比特幣每四年會減半、總量有 2100 萬個,但是礦工每天都在挖,那比特幣減半的時間和它的總量是怎麼算出來的呢?
其實只要利用高中的數學就可以算出來囉!比特幣多久會減半?
這裡先簡單的說明一下比特幣的挖礦:全世界有許多的電腦(稱為礦機)協助比特幣鏈上確認交易沒問題後並記帳(交易驗證與打包後生成 1 個區塊),而這些協助的礦機因為他們的工作可以獲得比特幣作為獎勵。
比特幣的白皮書上提到:
(1) 大約每 10 分鐘就可以生成 1 個區塊(記一次帳)
(2) 每經過 210,000 個區塊後,比特幣的獎勵就會減半
根據以上的兩點,我們可以計算出比特幣多久會減半:因為1個區塊約 10 分鐘,每 21 萬個區塊會減半,所以得到
10分鐘×21萬 = 210萬分鐘
= 3.5萬小時 ≒ 1458天 ≒ 3.99年。
由以上的式子可以得到,比特幣大約每 4 年會減半,不過實際的時間不是這麼精準的 4 年一到就減半,這就好像當我們進行重複的工作時,時間不會那麼剛好每次都一樣,同樣地,生成 1 個區塊的時間不會那麼剛好每次都是 10 分鐘。
如果有興趣的朋友,可以看這個減半倒數計時網站。
比特幣總量有多少呢?
我們知道比特幣每 21 萬個區塊就會減半之後,那麼比特幣的總量是怎麼算出來的呢?根據白皮書我們可以知道:
(1) 每經過 21 萬個區塊後,比特幣的獎勵就會減半
(2) 一開始每個區塊的獎勵為 50 顆比特幣
接下來為了方便解釋起見,我們將每 21 萬個區塊稱為一個週期,第 1 個週期就是前 21 萬個區塊。
因為在第 1 個週期中每個區塊的獎勵為 50 顆比特幣,又 1 個週期有 21 萬個區塊,所以第 1 個週期會產出 50顆×21萬=1050萬 顆比特幣,而第 2 個週期數量減半後,變為 525 萬顆,以此類推,可得:
- 第 1 個週期:1050 萬顆
- 第 2 個週期:525 萬顆
- 第 3 個週期:262.5 萬顆
- 第 4 個週期:131.25 萬顆
- 第 5 個週期: ⋮
因此,比特幣的總量就是
1050+525+262.5+131.25+⋯ 萬顆。
那麼以上的式子要怎麼計算呢?我們先複習一下高中的數學。
高中數學⋯你是忘記了,還是害怕想起來?
在高中我們學過如何將循環小數化成分數,例如下圖我們先將要求的循環小數設為 S,然後乘上 10 倍後兩式相減。

兩式相減後,小數點後面的2都可以消掉,所以就可以得到 9S =2,因此就可以把循環小數化成分數了。
利用以上的方法求比特幣的總量
利用同樣的方法我們將比特幣的總量設為 S(單位:萬顆),然後乘上 1/2 後兩式相減,如下圖所示。

兩式相減後,等號左邊剩下 0.5S,等號右邊「525+262.5+⋯」的部分都會消掉,只剩下 1050,由此得到 0.5S=1050,故求得 S=2100(萬)。
因此,我們就可以知道比特幣的總量為 2100 萬顆。
【進階】更多細節
以上是比特幣總量近似值的估計,事實上,白皮書裡提到:
比特幣總共會發生 32 次減半。
也就是說,減半 32 次之後,就不會再有更多的比特幣產生(屆時礦工協助記帳的獎勵皆來自於用戶交易的手續費gas fee)。
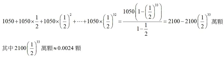
根據以上的訊息,如果要精算比特幣的總量,它會是一個首項 a=1050(萬)、公比 r=0.5、共 n=33 項的等比級數。
這裡我們可以利用高中學過的等比級數的和公式(下圖)來求其總量。

利用等比級數的和公式,比特幣的總量(a=1050、r=0.5、 n=33)計算如下:

也就是說,實際上,比特幣總量會比 2100 萬顆少一點點,大概少個 0.0024⋯ 顆左右。這也是為什麼大部分都會說比特幣的總量為 2100 萬顆的緣故。
👉如果想要隨時查看新文章,歡迎直接追蹤粉絲專頁。
🚀LinkTree有盤點幣圈的工具,歡迎收藏。
延伸閱讀
【數學】利用高中數學分析平方募資法(Quadratic Funding)
其實高中數學真的滿有用的,只是大多數人生活中不一定會用到、或是很多人要用的時候沒有想到,如果有任何數學的問題,歡迎留言告訴我哦!
最後提醒大家,加密貨幣屬於超級高風險的投資,大家一定要做好研究與風險管控,而且加密貨幣的資訊更新速度快、波動幅度大,如果想進區塊鏈的話,就要有保持高速學習的心理準備,所以如果你真的不懂的話,就千萬不要碰!
























