題目打包法(Item Parceling)是一種統計學方法,主要用於結構方程模式(SEM)中。打包法的基本思想是將多個觀察指標打包成一個新指標,以提高模型的擬合程度。打包法有很多優點,如提高模型的擬合程度和要求樣本數減少。但也有缺點,如不適合測量模型分析。本文將簡介題目打包法之策略。
緒論
題目打包法旨在透過總分或平均數,將來自同一量表的數個題目組合在一起成新的標題題目。 以下圖為例子,量表原來有 6 個題目, 可計算每 2個題目的總分或平均數(小組內題目數也可以不相等), 形成 3個新指標, 後續直接用 新指標進行分析。打包後的指標數量 可以根據模型的複雜度及樣本數量決定。如果模型複雜, 樣本數量, 可以將每個因素打包成一個指標; 反之則每個因素內打包成 3 個指標。

本文主要參考文獻如下:
吴艳 和 温忠麟. (2011). 结构方程建模中的题目打包策略. 心理科学进展, 19(12), 1859-1867.
題目打包法優點:
- 指標數據質量變好: 從古典測量理論的觀點來看, 由多個題目打包後的指標, 量尺的刻度變多、間距變小, 區分能力進一步增強, 變成了一個更好的“題目”。
- 模型擬合程度提高: 因為模型更加簡單,新指標的誤差變小,所以打包法可以提高模型的擬合程度。
- 估計偏差不大: Yuan、Bentler 和 Kano (1997) 的研究表明,當量表中的項目是一維且同質的時,與直接使用原始項目相比,使用項目包裹不會改變結構參數的估計。
Yuan, K. -H., Bentler, P. M., & Kano, Y. (1997). On averaging variables in a CFA model. Behaviormetrika, 24, 71–83.
- 要求樣本數減少: 結構方程模式, 對樣本容量有一定的要求。有建議說樣本應當是題目(指標)數量的 10 倍以上。打包法可以使模型更加簡潔,使得要得到穩定模型的需求樣本量也相對減少
- 改善數據偏態問題:非常態對SEM的結果正確性影響很大。打包法有助於改善數據非常態問題(Bandalos & Finney, 2001; Hau & Marsh, 2004)。即使原始數據嚴重非正態(如偏度 5.0, 峰度 25.0), 打包後也會變 成 近 似 正 態 分 布 ( 偏 度 0.5-1.5, 峰 度 -5.0 -5.0)(Bandalos, 2002)。
題目打包法缺點:
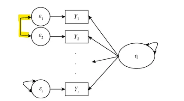
- 打包法忽略了題目誤差之間的關聯: 如下圖螢光處,若兩個題目的誤差有所關聯時(誤差共變項 ),在使用打包法之後,兩個變項被打包成一個,所以兩個題目的誤差共變項將被忽略,所以需要先對題目的誤差相關進的重要性行分析與探討。

- 要求條件不少:打包的變項前提條件是單維、單因素, 適合結構模型分析
- 不適合測量模型分析。例如:因素分析。在因素分析中不適合用打包法, 因為打包隱藏了因子分析關注的信息, 如題目是否存在跨因子現象(即一個題目和多個因素有高關聯)。
题目打包的策略
無子量表測驗的打包策略
因子平衡法:這種方法平衡了題目獨特成分之間的關係, 意欲讓每個小組有差不多的因素負荷量和變異量。模 型 擬 合 比 較 好,且容易掩蓋真實的結構(Bandalos, 2008; Kim & Hagtvet, 2003; Little et al., 2002)。做法如下: 先進行因子分析, 把題目按因素負荷量大小由高到低排列, 然後根據小組數將題目輪流由高到低、再反過來依次排列。比如說有 6 個題目, 要打包 3 個組合變項, 則這 6 個題目按照負荷由高到低,1 表示負荷最高的題目,6表示負荷最低的題目。排列後, 再按照如下方式排列:
1 2 3
6 5 4
隨機法: 即題目隨機打包, 包括完全隨機、奇數和偶數隨機打包等。, 打包後, 每個指標有類似的誤差變異量。隨機法簡單易行, 從概念上說, 不受樣 本 的 影 響 , 因 此 值 得 推 薦 (Matsunaga, 2008)。然而, 如果題目變異量差異不小時, 打包結果會產生偏差, 更加偏向變異量大的題目(Little et al., 2002)。
有子量表測驗的打包策略
如果每個維度的題目不重合, 各自組成一個子量表,應該改採用有子量表測驗的打包策略。
內部一致性法(internal-consistency approach ), 也叫獨立打包法(isolated parceling), 是把同一因子下的題目打包, 強調各小組內題目的一致性, 實質是讓組內差異變小 。比如, 一個量表有三個因素共 9 個題目, 因素 1 包含題目1、2、3, 因素 2 包含題目 4、5、6, 因素 3 包含題目 7、8、9, 要打包成三個指標。如下所示:
指標1:題目1、2、3
指標2:題目4、5、6
指標2:題目7、8、9
您的研究遇到了統計分析的困難嗎?您需要專業的統計諮詢和代跑服務嗎?請點我看提供的服務
























